Última actualização :
17/12/2025
antibiótico   Dapsone  
Pomadas
Solução Oral
Estabilidade de preparações farmacêuticas Estabilidade em misturas Factores que afectam a sua estabilidade Compatibilidade Bibliografía pdf
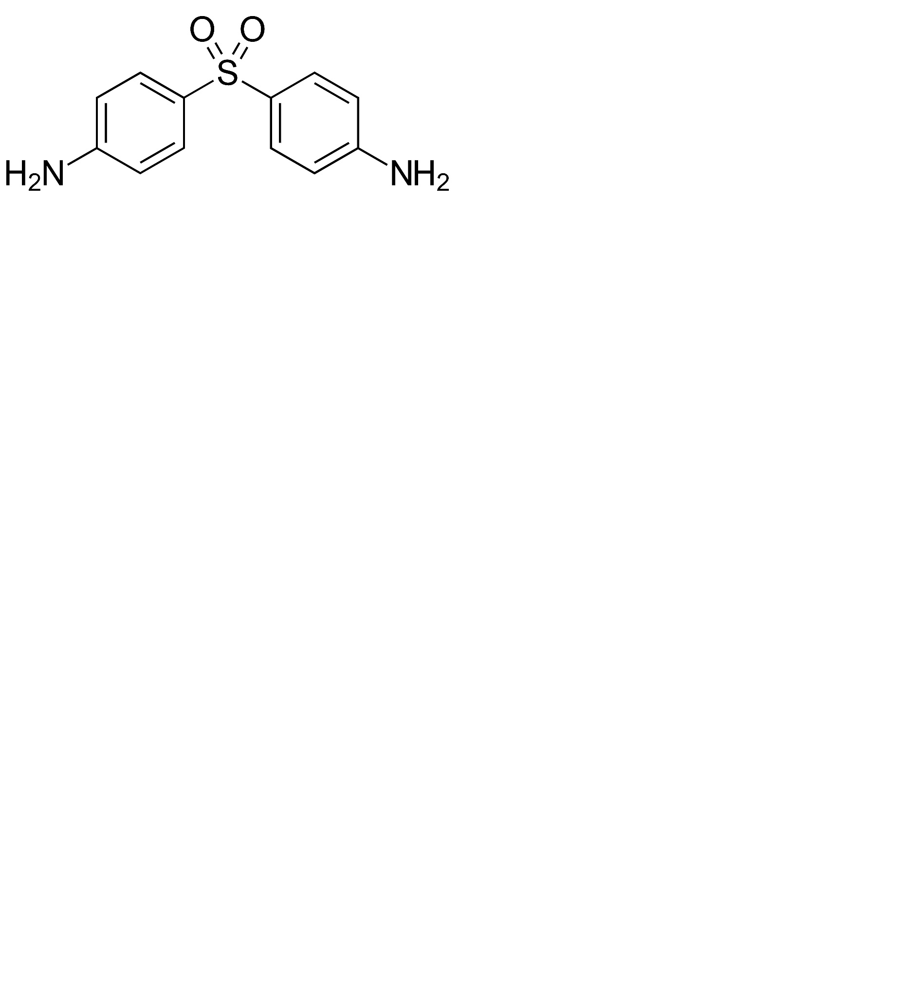
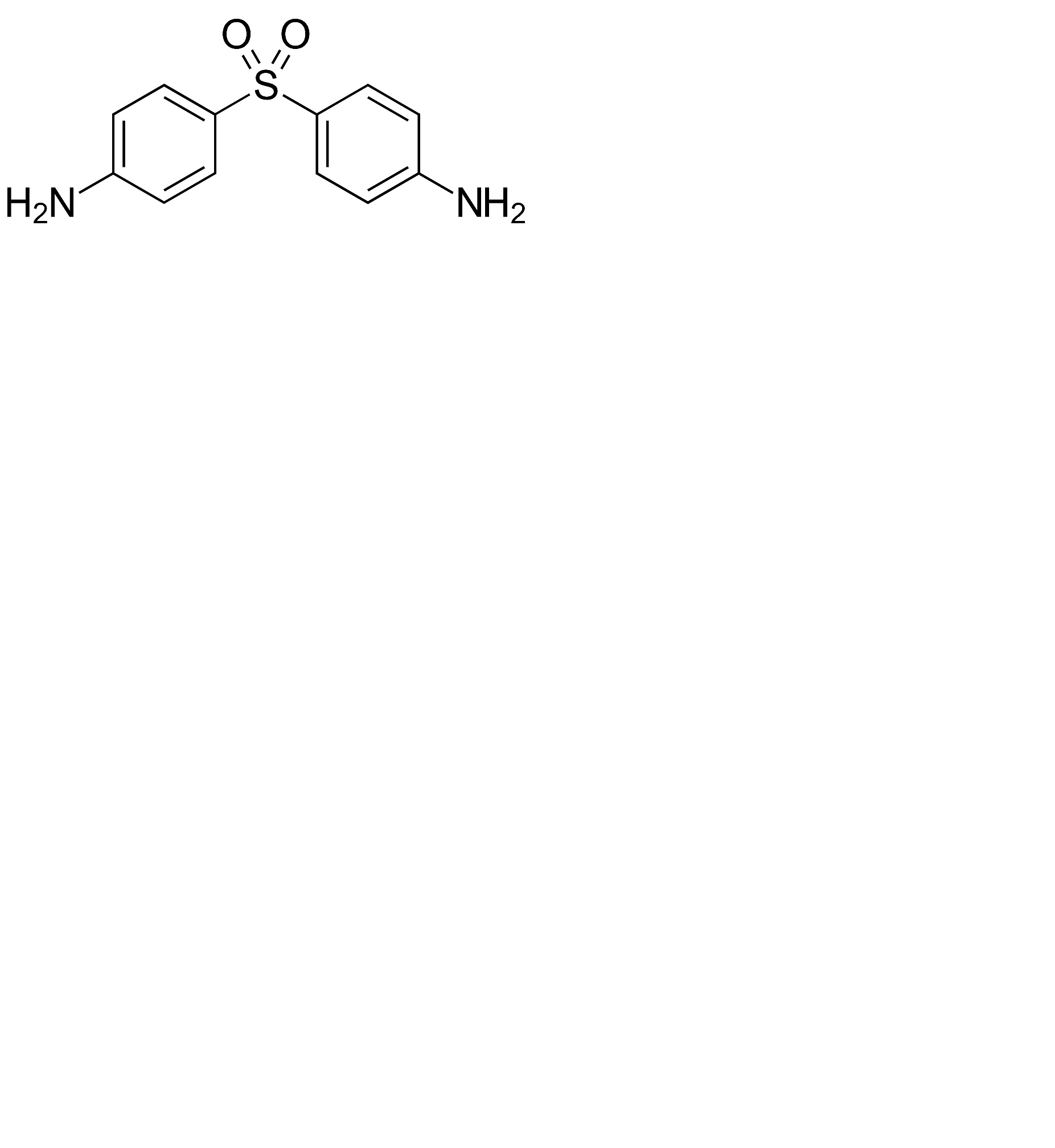
   estrutura química  

Pomadas
Estabilidade de preparações farmacêuticas   Pomadas   Estabilidade de preparações farmacêuticas : Dapsone     
Embalagem Origine excipiente temperatura conservação Duração da estabilidade Bibliografia
frasco de plástico pó 2000 mg
® = ?
Cleoderm® >> 40 g
15-30°C ao abrigo da luz
180 dia
4879
frasco de plástico pó 4000 mg
® = ?
Cleoderm® >> 40 g
15-30°C ao abrigo da luz
180 dia
4879

  Mentions Légales