viimane versioon :
27/11/2025
antibiootikum   Dapsone  
salv
suukaudne lahus
Stabiilsust ravimpreparaadid Stabiilsust mõjutavad tegurid stabiilsust mõjutavad faktorid Sobimatus Viited pdf
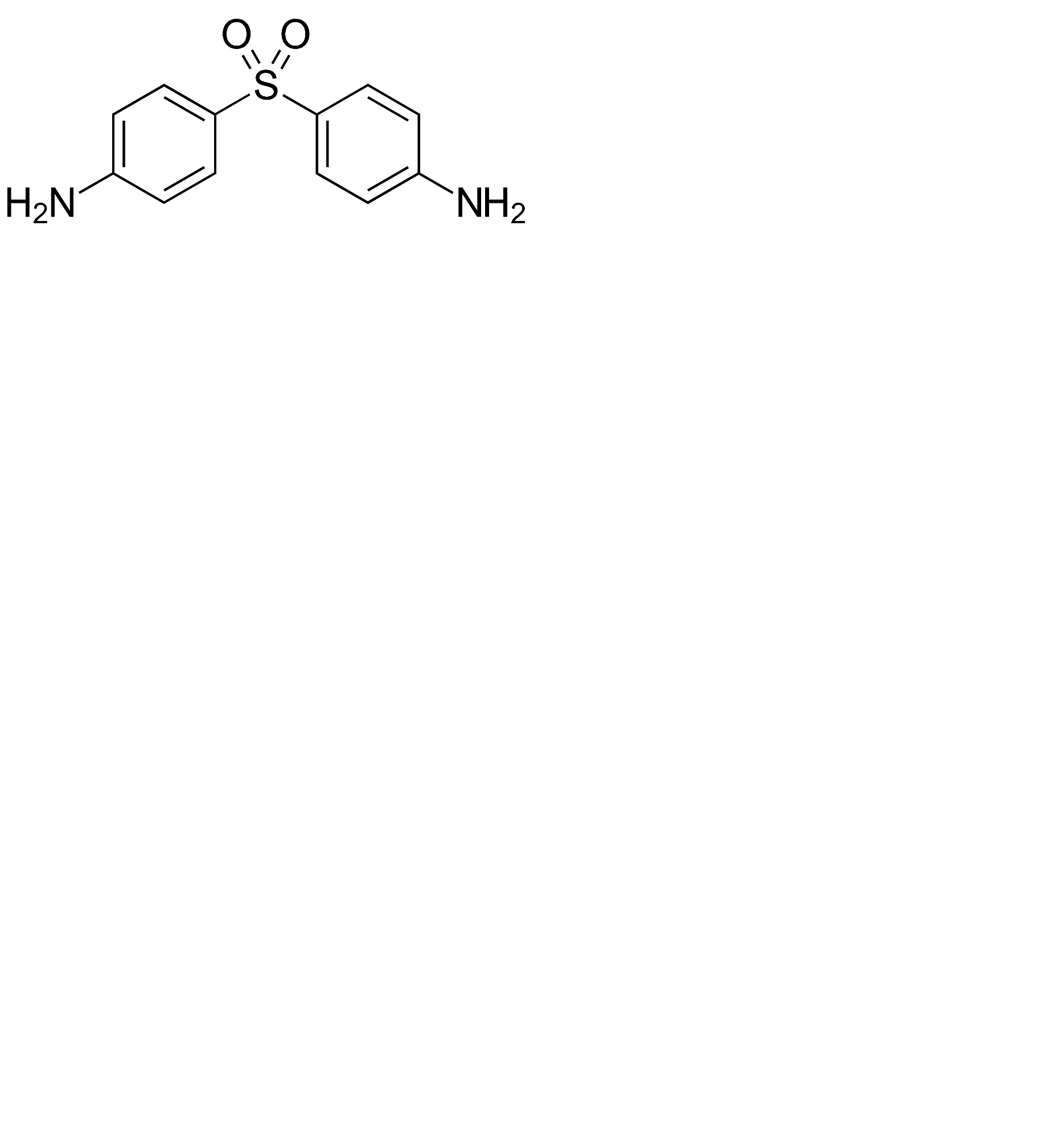
   keemiline struktuur  

salv
Stabiilsust ravimpreparaadid   salv   Stabiilsust ravimpreparaadid : Dapsone     
konteiner Origine  abiaine temperatuur ladustamine Stabiilsuse kestus Viited
Plastikpudel pulber 2000 mg
® = ?
Cleoderm® >> 40 g
15-30°C kaitsta valguse eest
180 päev
4879
Plastikpudel pulber 4000 mg
® = ?
Cleoderm® >> 40 g
15-30°C kaitsta valguse eest
180 päev
4879

  Mentions Légales