Poslední aktualizace :
17/12/2025
Antibiotikum   Dapsone  
Masti
Perorální roztok
Stabilita farmaceutických přípravků Stabilita směsí Faktory ovlivňující stabilitu Kompatibilita Odkazy pdf
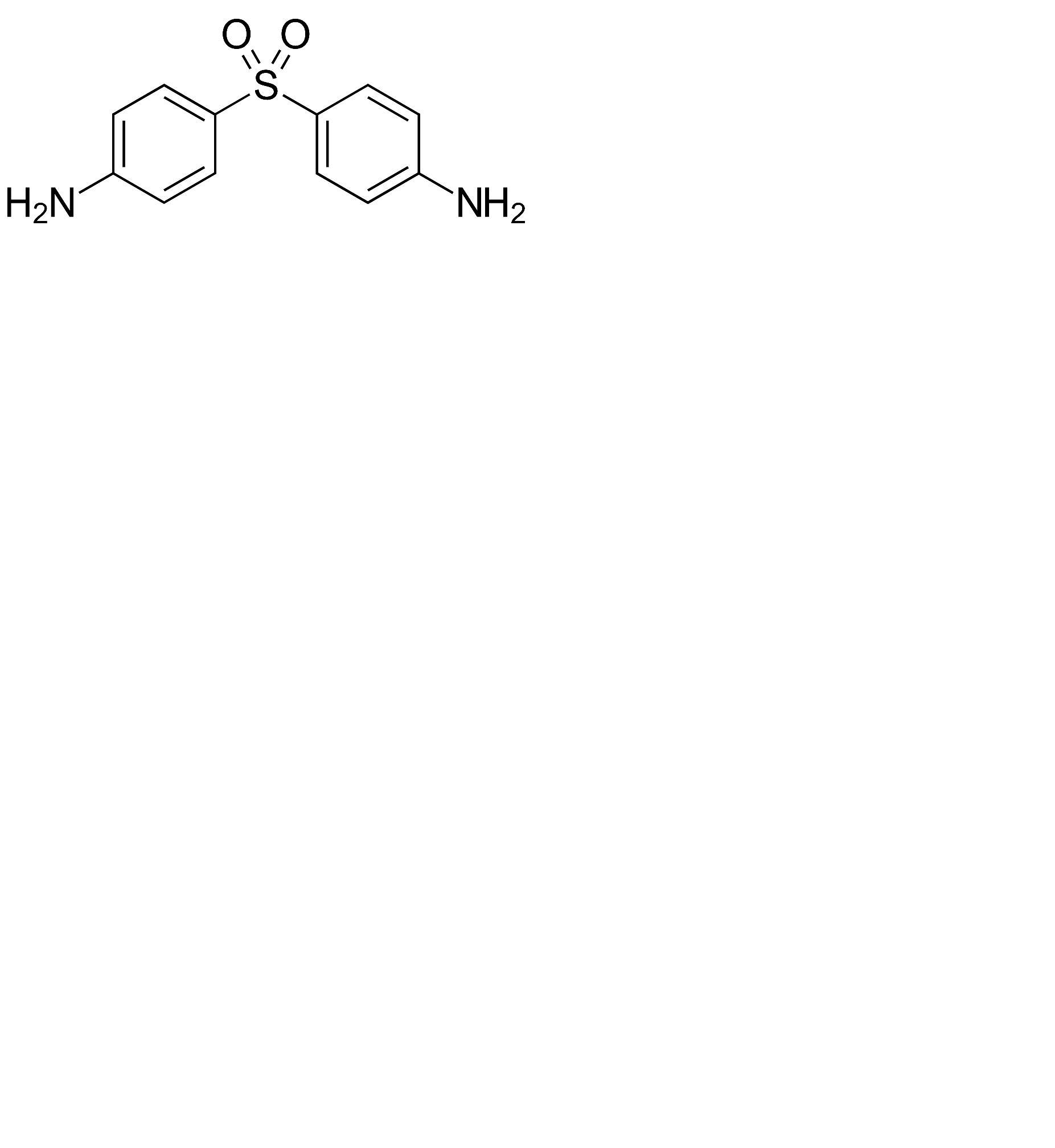
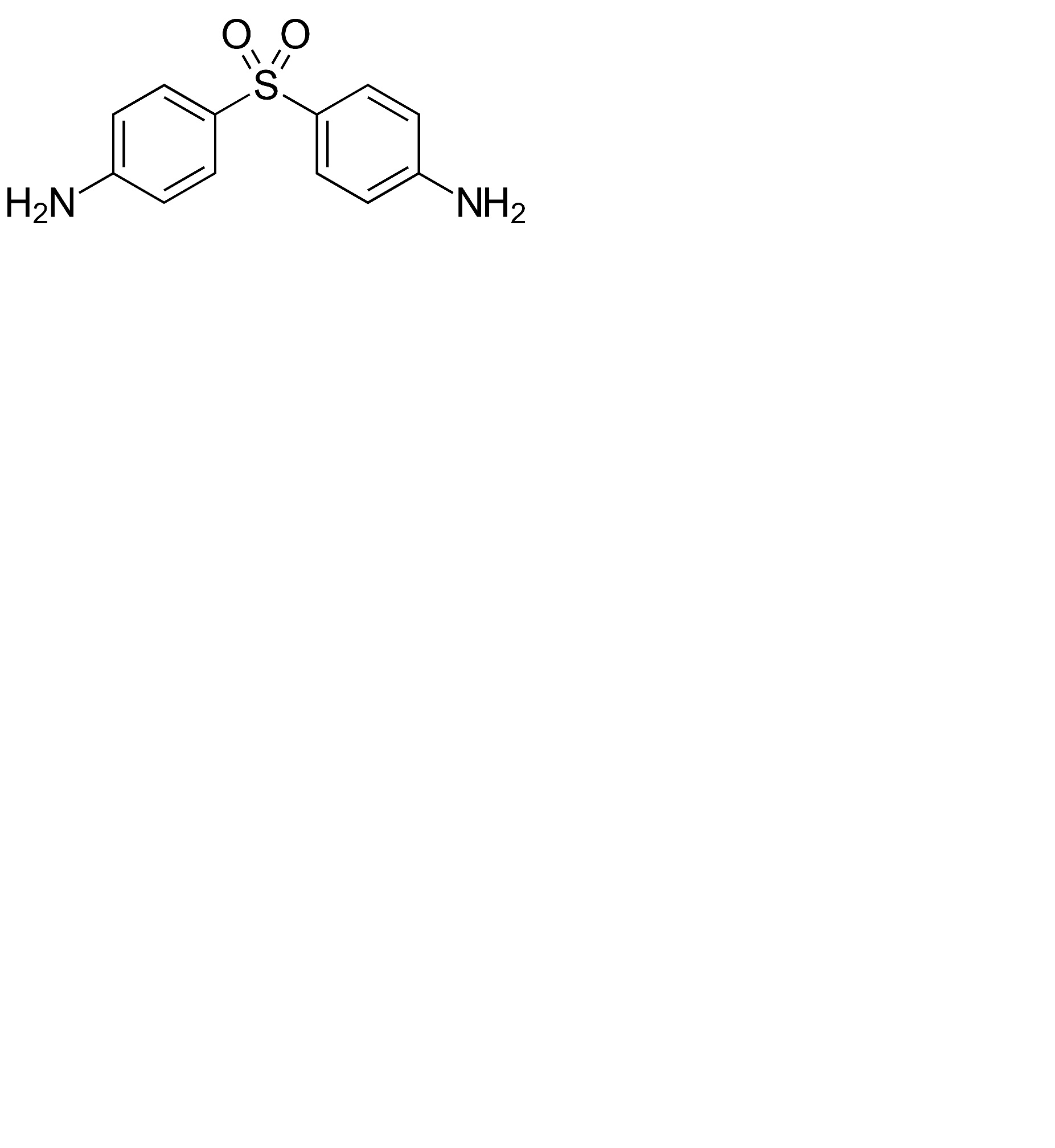
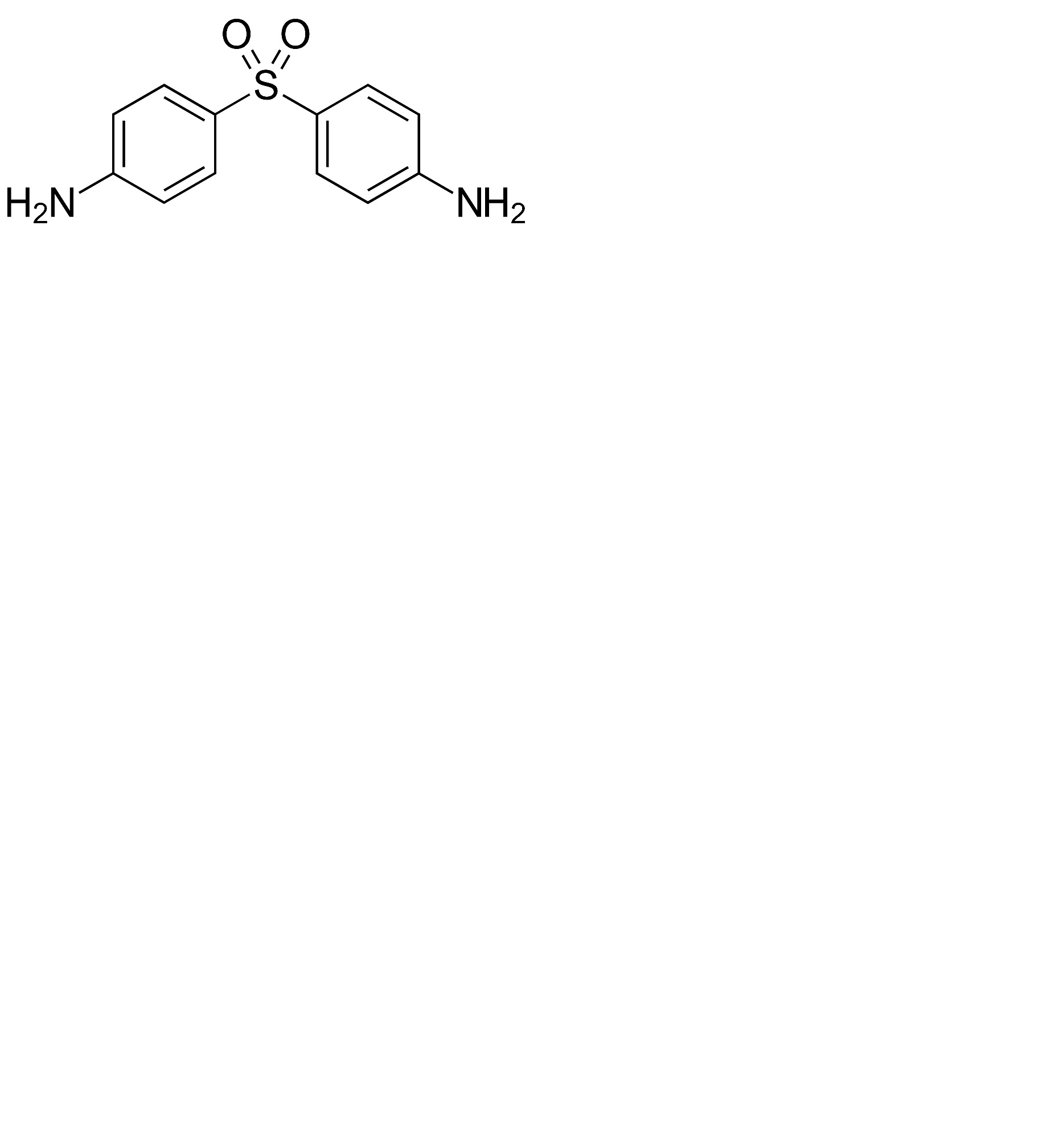
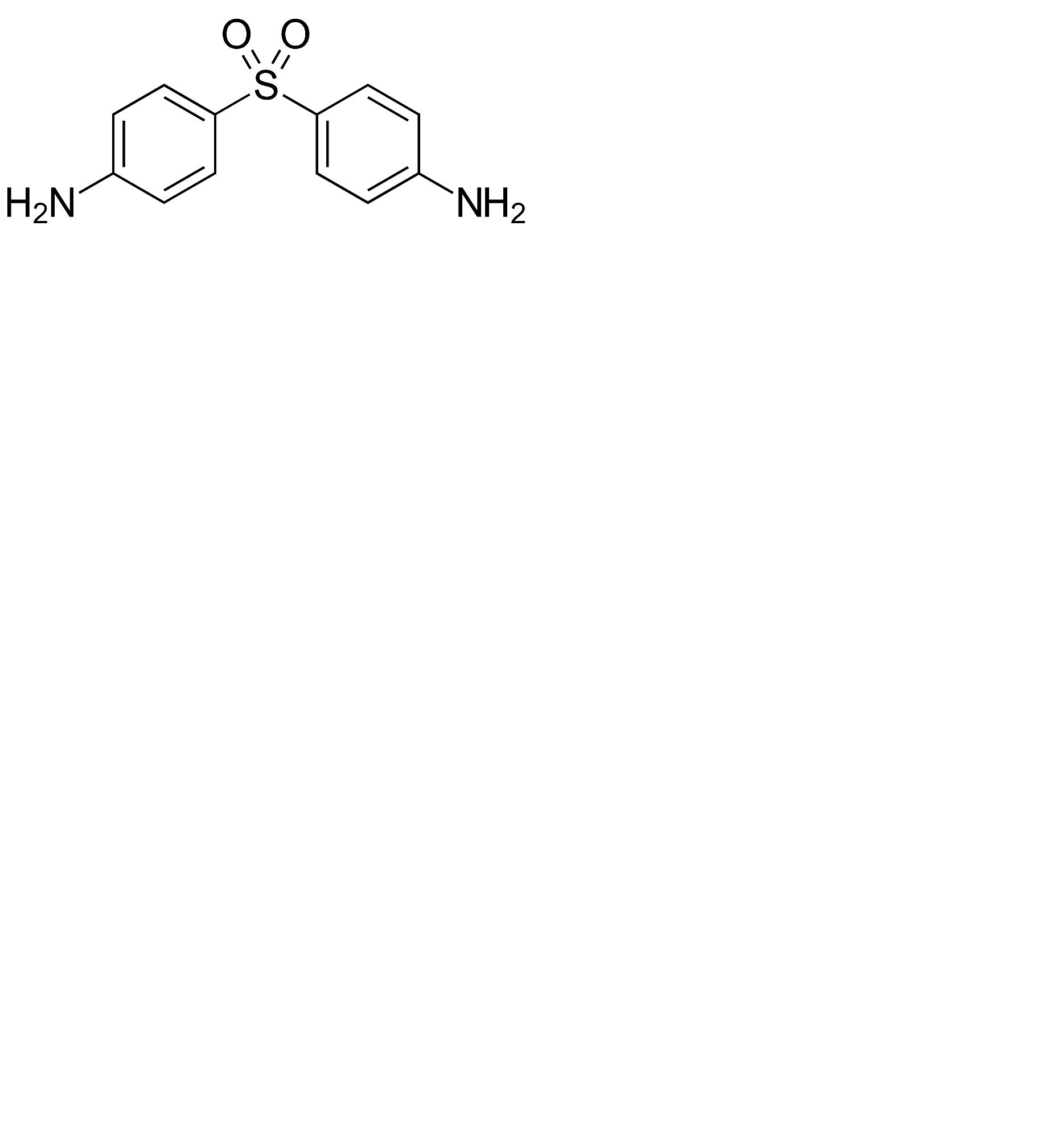
   Chemický vzorec  

Masti
Stabilita farmaceutických přípravků   Masti   Stabilita farmaceutických přípravků : Dapsone     
Obal Origine Pomocné látky Teplota Uchovávání Trvání stability Odkazy
plastová láhev prášek 2000 mg
® = ?
Cleoderm® >> 40 g
15-30°C Chráněno před světlem
180 Den
4879
plastová láhev prášek 4000 mg
® = ?
Cleoderm® >> 40 g
15-30°C Chráněno před světlem
180 Den
4879

  Mentions Légales