Ultimele actualizari :
17/12/2025
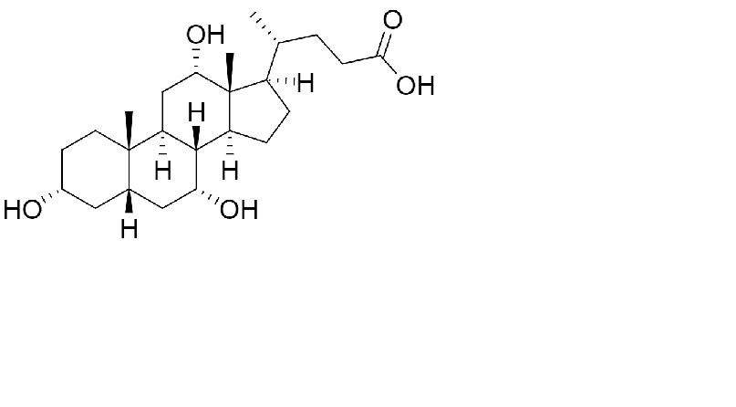
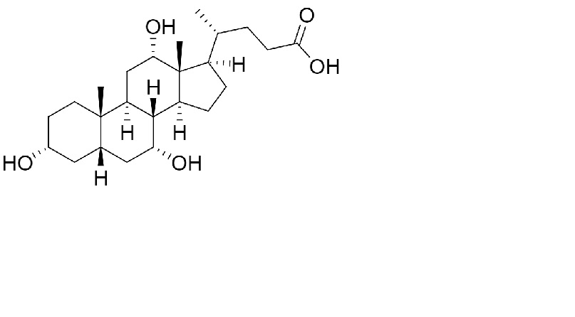
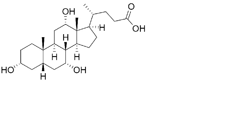
Diverse   Cholic acid  
Capsulă
Stabilitatea preparatelor farmaceutice Stabilitatea in amestec Factorii care influenteaza stabilitatea Compatibilitate Bibliografie pdf
   Formula chimica  

Capsulă
Bibliografie   Capsulă   Bibliografie : Cholic acid  
tip publicare
4751 ziar Polak Y, Jacobs B.A.W, Bouwhuis N, Hollak C.E.M, Kroon M.A.G.M, Kemper E.M.
Product Validation and Stability Testing of Pharmacy Compounded Cholic Acid Capsules for Dutch Patients with Rare Bile Acid Synthesis Defects.
Pharmaceutics 2023 https://doi.org/10.3390/

  Mentions Légales