fermer
Utolsó frissítés :
17/12/2025
Infostab
Listák
Összesítő lista
Kompatibilitások keresése
Y-site kompatibilitási táblázat
Irodalom
kutatócsoportok
valistab
poszter
Kapcsolatok
támogatók
Szerző
Felhasználói útmutató
Hírlevél
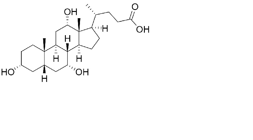
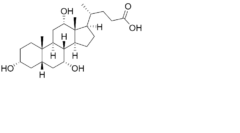
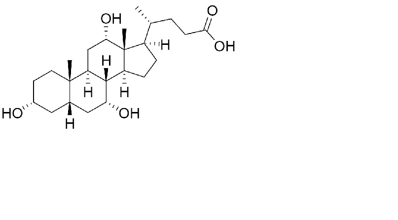
Cholic acid
Kémiai szerkezet
Irodalom : Cholic acid
Type
publikáció
4751
Napló
Polak Y, Jacobs B.A.W, Bouwhuis N, Hollak C.E.M, Kroon M.A.G.M, Kemper E.M.
Product Validation and Stability Testing of Pharmacy Compounded Cholic Acid Capsules for Dutch Patients with Rare Bile Acid Synthesis Defects.
Pharmaceutics 2023 https://doi.org/10.3390/
Mentions Légales