fermer
Pēdējā atjaunošana :
17/12/2025
Infostab
Saraksti
Kopsavilkums
Meklēt saderības
Y-savienojuma saderības tabula
Literatūras saraksts
pētniecības grupas
valistab
plakāts
Savienojumi
sponsori
Autori
Lietošanas instrukcija
Newsletter
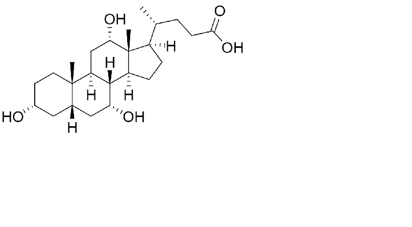
Cholic acid
Ķīmiskā uzbūve
Literatūras saraksts : Cholic acid
tips
publicēšana
4751
Žurnāls
Polak Y, Jacobs B.A.W, Bouwhuis N, Hollak C.E.M, Kroon M.A.G.M, Kemper E.M.
Product Validation and Stability Testing of Pharmacy Compounded Cholic Acid Capsules for Dutch Patients with Rare Bile Acid Synthesis Defects.
Pharmaceutics 2023 https://doi.org/10.3390/
Mentions Légales