Letztes “update” :
18/03/2026
Verschiedenes   Cholic acid  
Kapsel (Singular !)
Stabilität von pharmazeutischen Präparaten Gemengestabilität Stabilitätbeeinflussende Faktoren Kompatibilitäten Literaturverzeichnis pdf
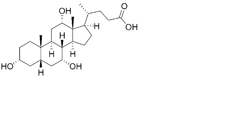
   Chemische Struktur  

Kapsel (Singular !)
Literaturverzeichnis   Kapsel (Singular !)   Literaturverzeichnis : Cholic acid  
Typ Veröffentlichung
4751 Zeitung Polak Y, Jacobs B.A.W, Bouwhuis N, Hollak C.E.M, Kroon M.A.G.M, Kemper E.M.
Product Validation and Stability Testing of Pharmacy Compounded Cholic Acid Capsules for Dutch Patients with Rare Bile Acid Synthesis Defects.
Pharmaceutics 2023 https://doi.org/10.3390/

  Mentions Légales