fermer
最新更新 :
17/12/2025
Infostab
薬剤一覧
まとめ一覧
互換性の検索
Yサイト対応表
引用文献
研究チーム
valistab
ポスター
接続
スポンサー
作成者
ユーザーガイド
ニュースレター
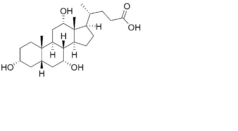
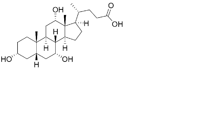
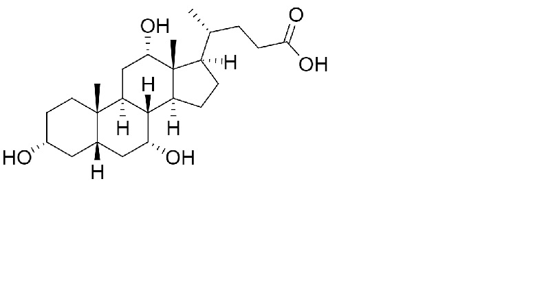
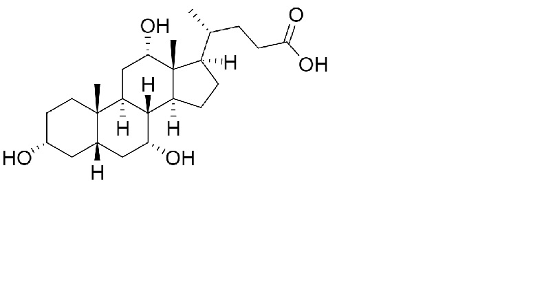
Cholic acid
化学構造
引用文献 : Cholic acid
形式
出版物
4751
雑誌
Polak Y, Jacobs B.A.W, Bouwhuis N, Hollak C.E.M, Kroon M.A.G.M, Kemper E.M.
Product Validation and Stability Testing of Pharmacy Compounded Cholic Acid Capsules for Dutch Patients with Rare Bile Acid Synthesis Defects.
Pharmaceutics 2023 https://doi.org/10.3390/
Mentions Légales