fermer
Poslední aktualizace :
17/12/2025
Infostab
Junginių sąrašas
Sąrašai
Ieškoti suderinamumo
Y formos suderinamumo lentelė
Bibliografija
Mokslinių tyrimų Komandos
valistab
plakatas
Jungtys
rėmėjai
Autorius
Naudojimo instrukcija
Biuletenį
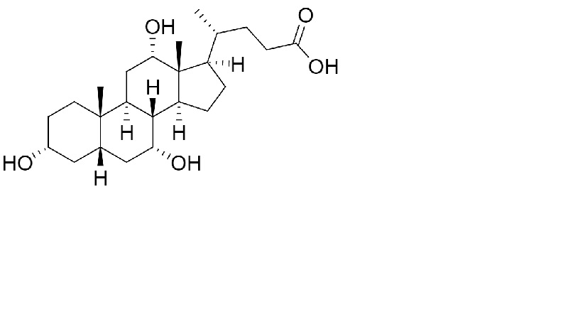
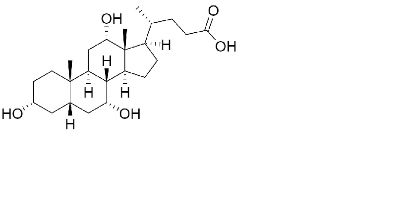
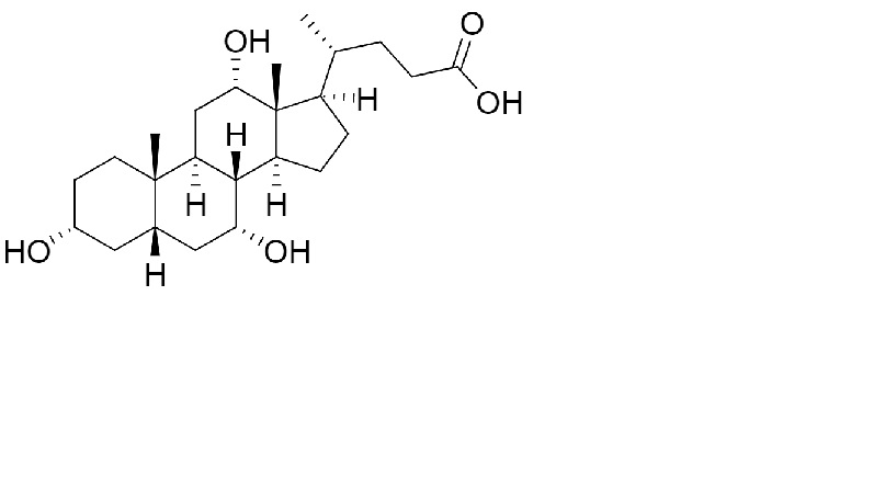
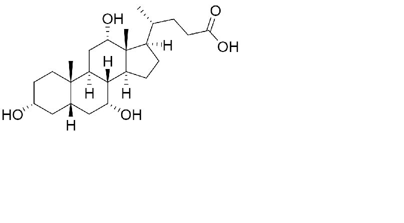
Cholic acid
Cheminė sandara
Bibliografija : Cholic acid
tipas
leidinys
4751
Žurnalas
Polak Y, Jacobs B.A.W, Bouwhuis N, Hollak C.E.M, Kroon M.A.G.M, Kemper E.M.
Product Validation and Stability Testing of Pharmacy Compounded Cholic Acid Capsules for Dutch Patients with Rare Bile Acid Synthesis Defects.
Pharmaceutics 2023 https://doi.org/10.3390/
Mentions Légales