Ostatnia aktualizacja :
17/12/2025
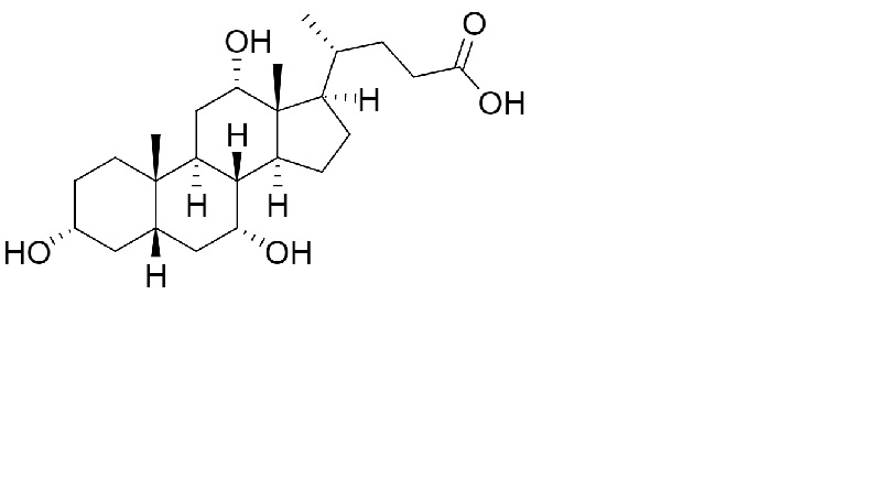
Różne   Cholic acid  
Kapsułka
Stabilność preparatów farmaceutycznych Trwałość w mieszaninie Czynnik wpływający na trwałość Zgodność Bibliografia pdf
   Struktura chemiczna  

Kapsułka
Bibliografia   Kapsułka   Bibliografia : Cholic acid  
typ publikacja
4751 Czasopismo Polak Y, Jacobs B.A.W, Bouwhuis N, Hollak C.E.M, Kroon M.A.G.M, Kemper E.M.
Product Validation and Stability Testing of Pharmacy Compounded Cholic Acid Capsules for Dutch Patients with Rare Bile Acid Synthesis Defects.
Pharmaceutics 2023 https://doi.org/10.3390/

  Mentions Légales