Dernière mise à jour :
18/03/2026
Infostab
Liste des molécules
Listes récapitulatives
Recherches de compatibilités
Tableau de compatibilités en Y
Bibliographie
Equipes de recherche
Valistab
Posters
Liens infostab
Partenaires
Auteurs
Manuel d'utilisation
Lettre d'actualité
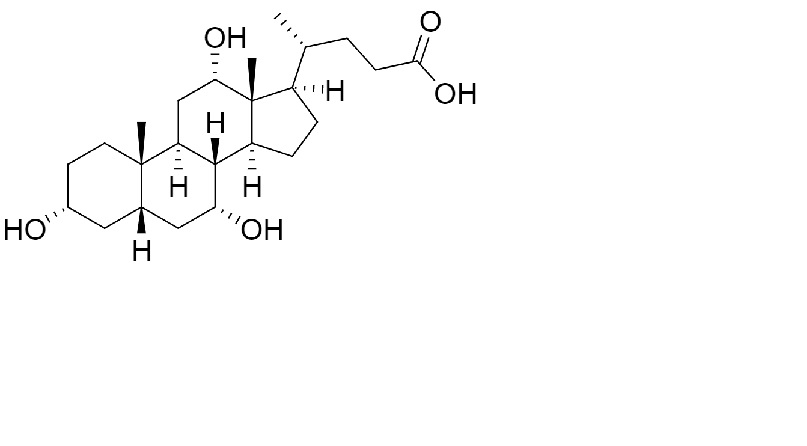
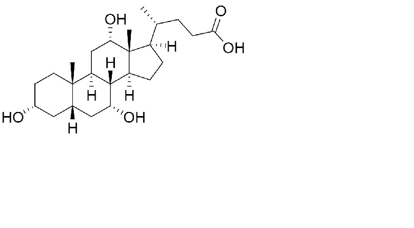
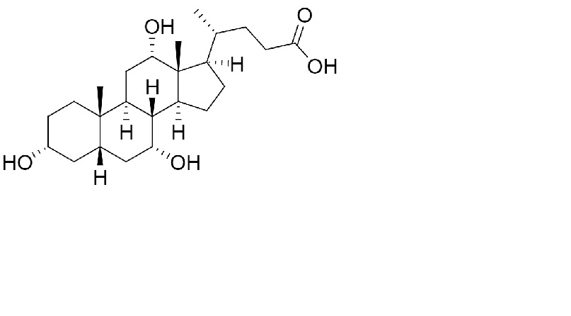
Cholic acid
Structure chimique
Bibliographie : Cholic acid
Type
Source
4751
Revue
Polak Y, Jacobs B.A.W, Bouwhuis N, Hollak C.E.M, Kroon M.A.G.M, Kemper E.M.
Product Validation and Stability Testing of Pharmacy Compounded Cholic Acid Capsules for Dutch Patients with Rare Bile Acid Synthesis Defects.
Pharmaceutics 2023 https://doi.org/10.3390/
Mentions Légales