Son güncelleme :
12/12/2025
Anti demans   Pimavanserin  
Oral solüsyon / oral çözelti
Farmasötik preparatlar Kararlılığı Karışımlardaki stabilitesi Stabiliteyi etkileyen faktörler Uyumluluk Kaynaklar pdf
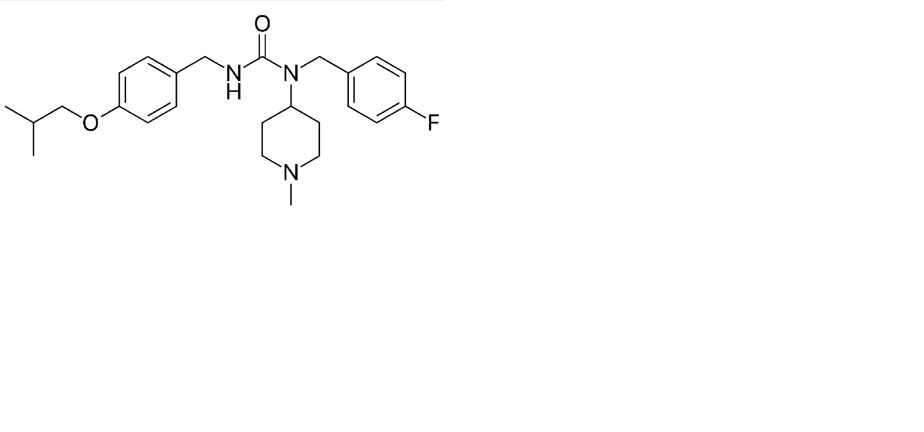
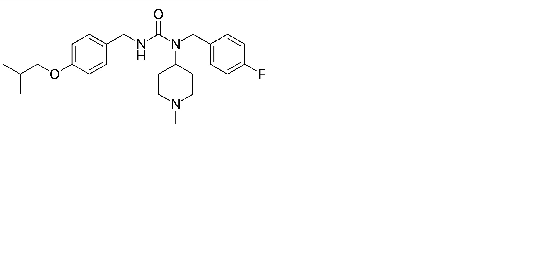
   Kimyasal yapı   

Oral solüsyon / oral çözelti
Farmasötik preparatlar Kararlılığı   Oral solüsyon / oral çözelti   Farmasötik preparatlar Kararlılığı : Pimavanserin     
Saklama kabı Origine yardımcı madde Isı Saklama    Stabilite süresi Kaynaklar
Belirtilmemiş Kapsüller 34 mg
Nuplazid®
Arıtılmış su >> 40 mL
25°C Belirtilmemiş
24 Zaman
4484
Belirtilmemiş Kapsüller 34 mg
Nuplazid®
Portakal suyu >> 60 mL
25°C Belirtilmemiş
24 Zaman
4484
Belirtilmemiş Kapsüller 34 mg
Nuplazid®
Elma püresi >> 40 g
25°C Belirtilmemiş
24 Zaman
4484

  Mentions Légales