Ultimo aggiornamento :
18/03/2026
contro la demenza   Pimavanserin  
Soluzione orale
Stabilità dei preparati farmaceutici Stabilità in miscela Fattori che influenzano la stabilità Compatibilità Bibliografia pdf
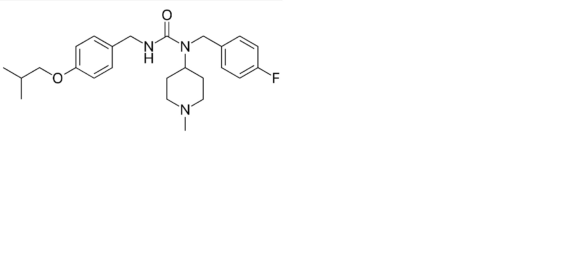
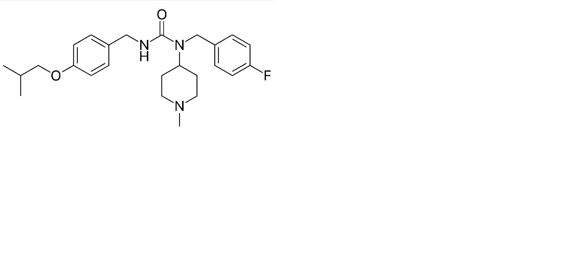
   Struttura chimica  

Soluzione orale
Stabilità dei preparati farmaceutici   Soluzione orale   Stabilità dei preparati farmaceutici : Pimavanserin     
contenitore Origine eccipiente Temperatura Conservazione Durata della stabilità Bibliografia
Non precisato capsula 34 mg
Nuplazid®
Acqua depurata >> 40 mL
25°C Non precisata
24 Ora
4484
Non precisato capsula 34 mg
Nuplazid®
succo d'arancia >> 60 mL
25°C Non precisata
24 Ora
4484
Non precisato capsula 34 mg
Nuplazid®
Succo di mele >> 40 g
25°C Non precisata
24 Ora
4484

  Mentions Légales