Последно актуализиране :
18/03/2026
анти деменция   Pimavanserin  
Орален разтвор
Стабилност на лекарствени препарати Стабилност на смеси Фактори, повлияващи стабилността Съвместимост Библиография Pdf
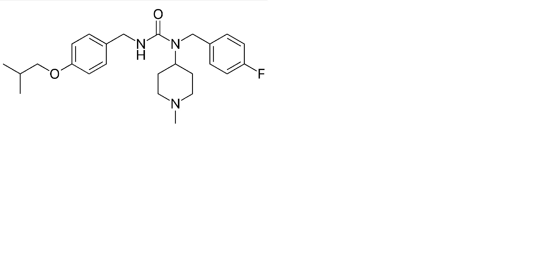
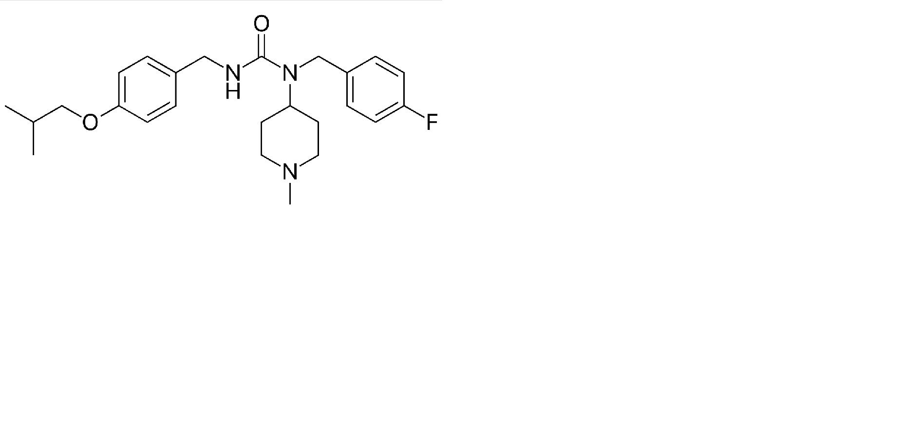
   Химична структура  

Орален разтвор
Стабилност на лекарствени препарати   Орален разтвор   Стабилност на лекарствени препарати : Pimavanserin     
Контейнер Origine Помощно вещество Температура Съхранение Продължителност на стабилността Библиография
Не е уточнено Капсула 34 mg
Nuplazid®
Пречистена вода >> 40 mL
25°C Не е уточнено
24 Час
4484
Не е уточнено Капсула 34 mg
Nuplazid®
Портокалов сок >> 60 mL
25°C Не е уточнено
24 Час
4484
Не е уточнено Капсула 34 mg
Nuplazid®
Ябълково пюре >> 40 g
25°C Не е уточнено
24 Час
4484

  Mentions Légales