Última actualização :
18/03/2026
anti-demência   Pimavanserin  
Solução Oral
Estabilidade de preparações farmacêuticas Estabilidade em misturas Factores que afectam a sua estabilidade Compatibilidade Bibliografía pdf
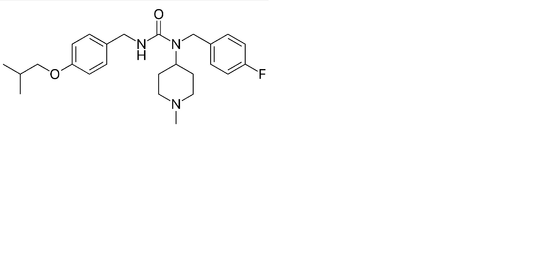
   estrutura química  

Solução Oral
Estabilidade de preparações farmacêuticas   Solução Oral   Estabilidade de preparações farmacêuticas : Pimavanserin     
Embalagem Origine excipiente temperatura conservação Duração da estabilidade Bibliografia
no especificado cápsulas 34 mg
Nuplazid®
A água purificada >> 40 mL
25°C no especificado
24 hora
4484
no especificado cápsulas 34 mg
Nuplazid®
Suco de laranja >> 60 mL
25°C no especificado
24 hora
4484
no especificado cápsulas 34 mg
Nuplazid®
molho de maçã >> 40 g
25°C no especificado
24 hora
4484

  Mentions Légales