Τελευταία ενημέρωση :
18/03/2026
αντι-άνοια   Pimavanserin  
Πόσιμο διάλυμα
Σταθερότητα και συμβατότητα των φαρμάκων Σταθερότητα σε μίγματα Παράγοντας που επηρεάζει τη σταθερότητα Συμβατότητες Βιβλιογραφία pdf
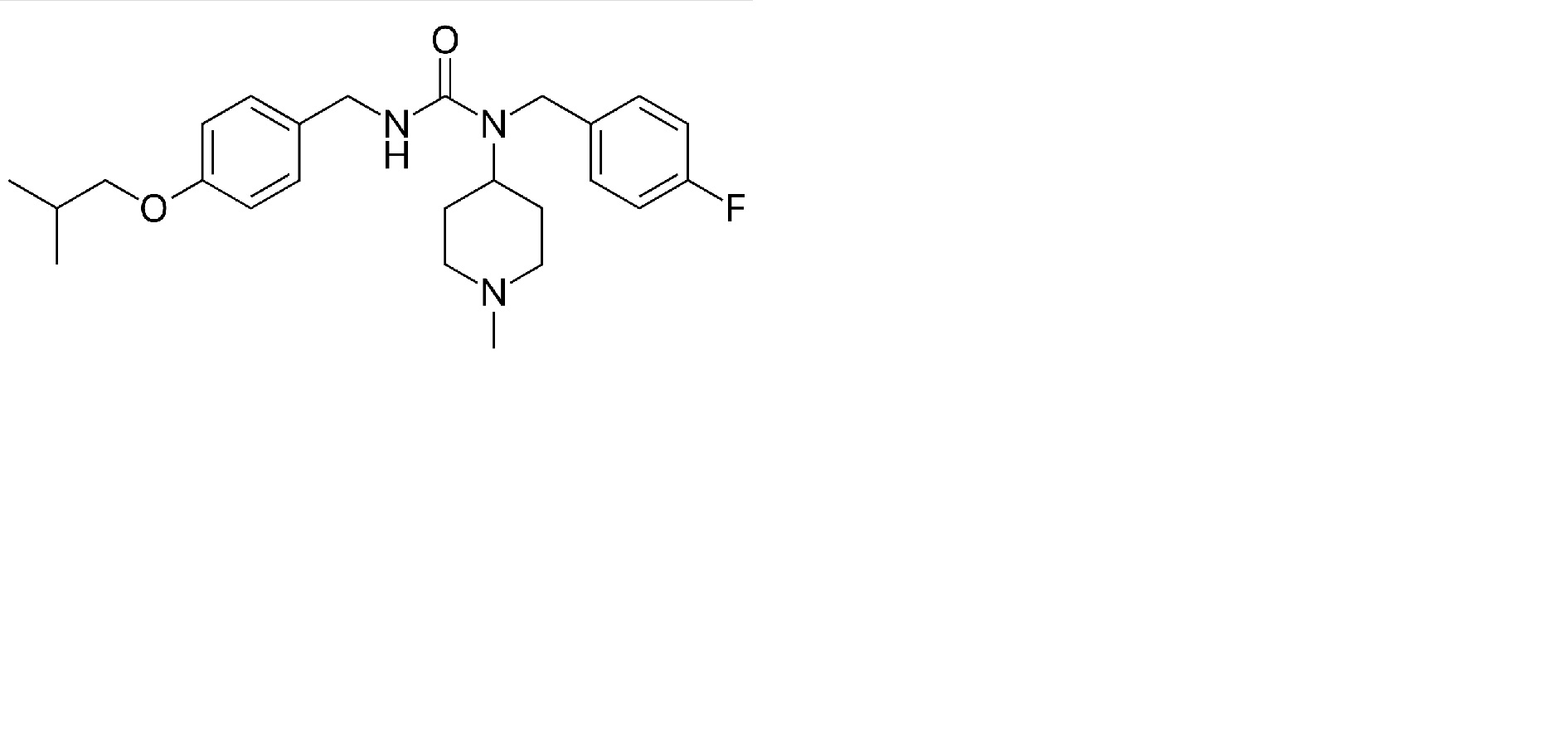
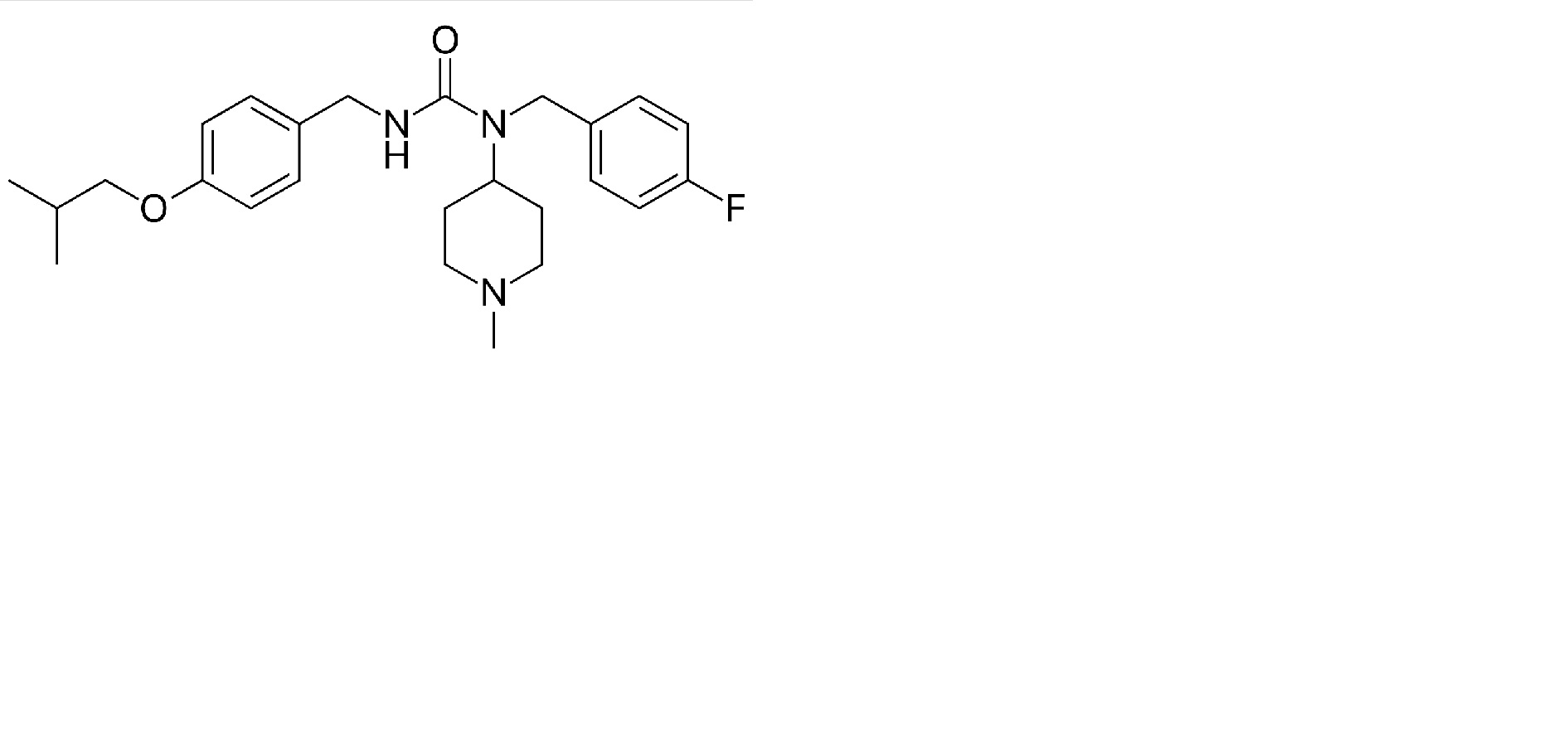
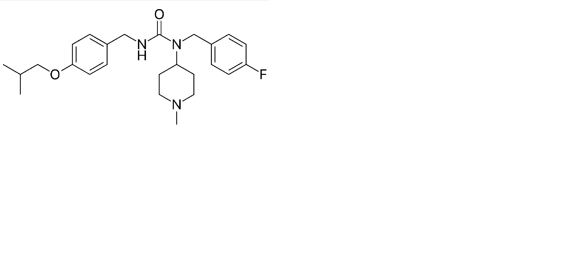
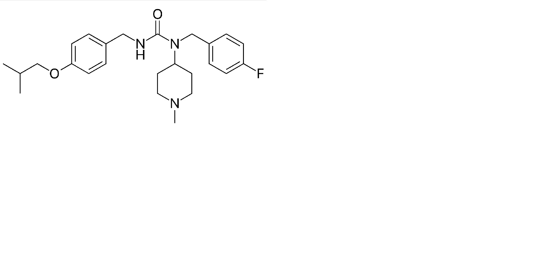
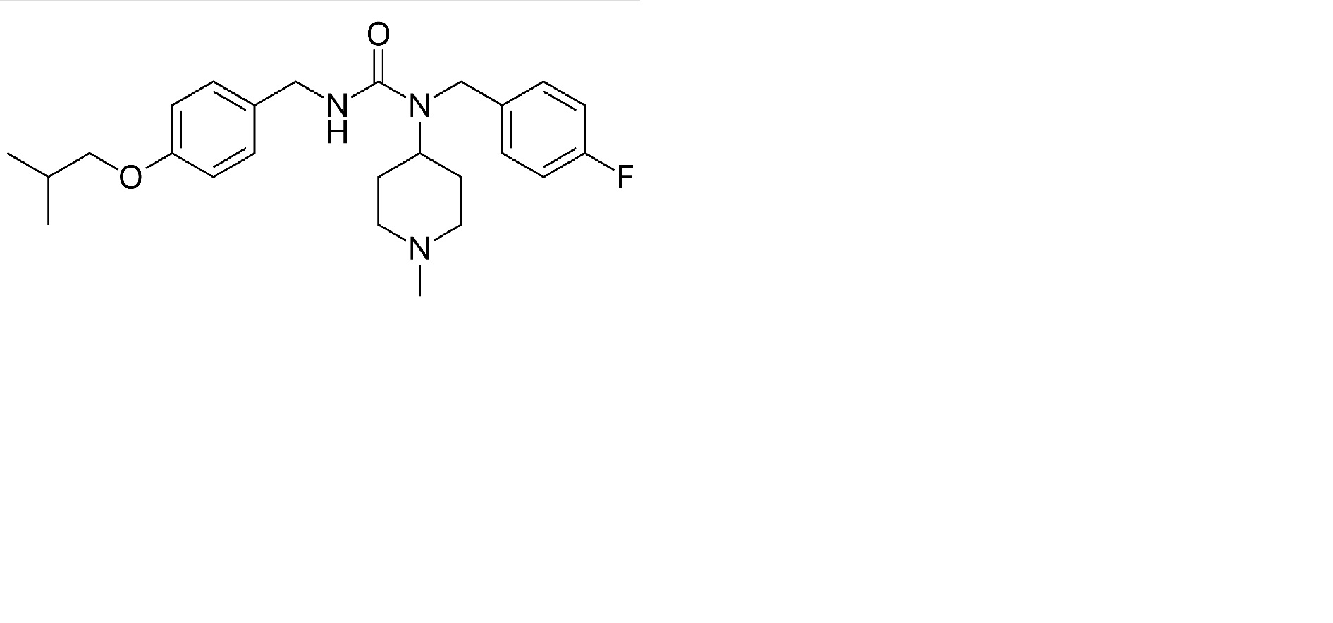
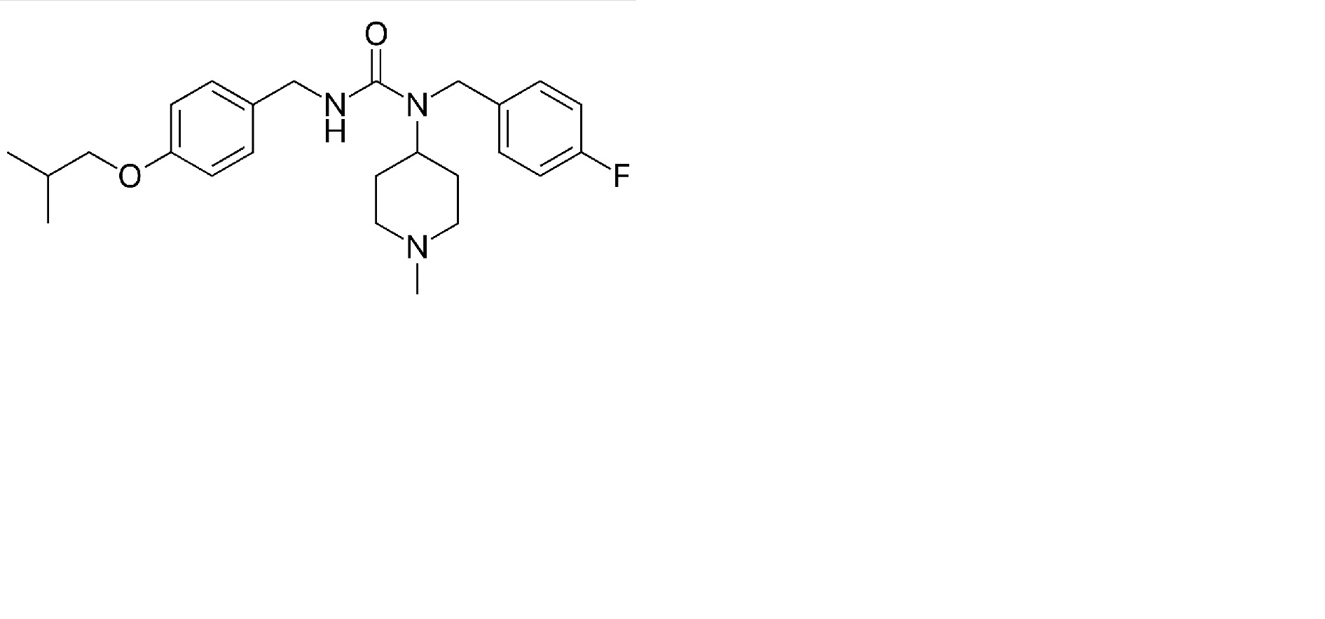
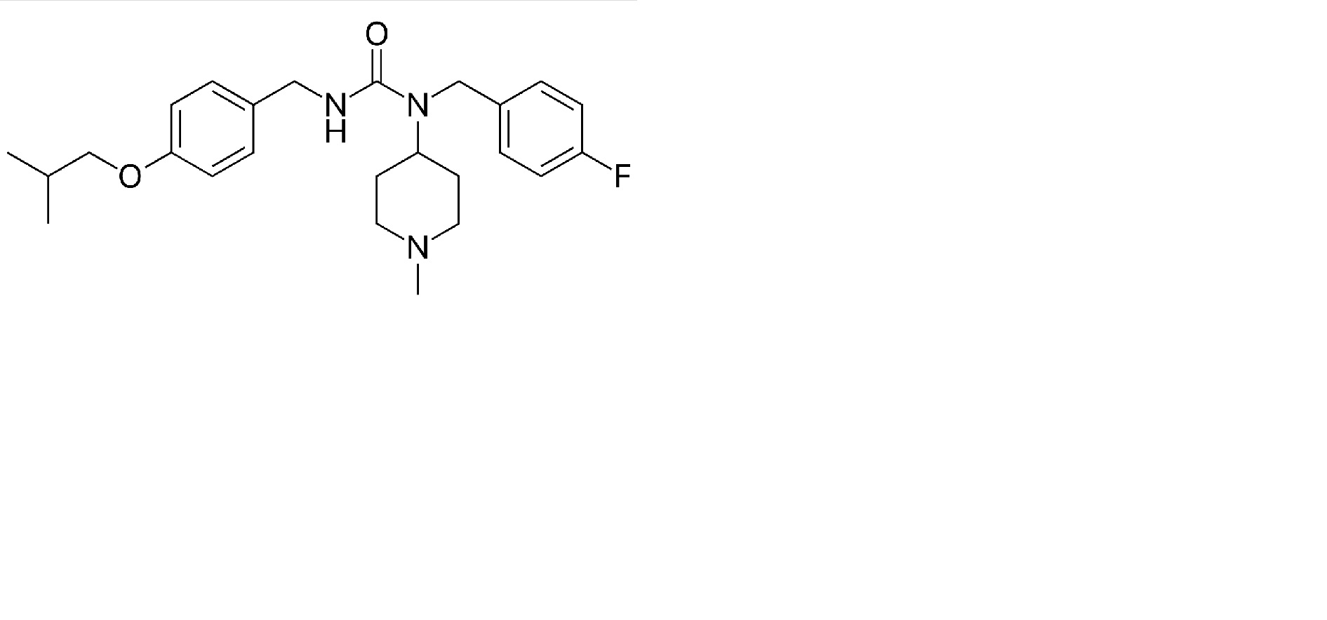
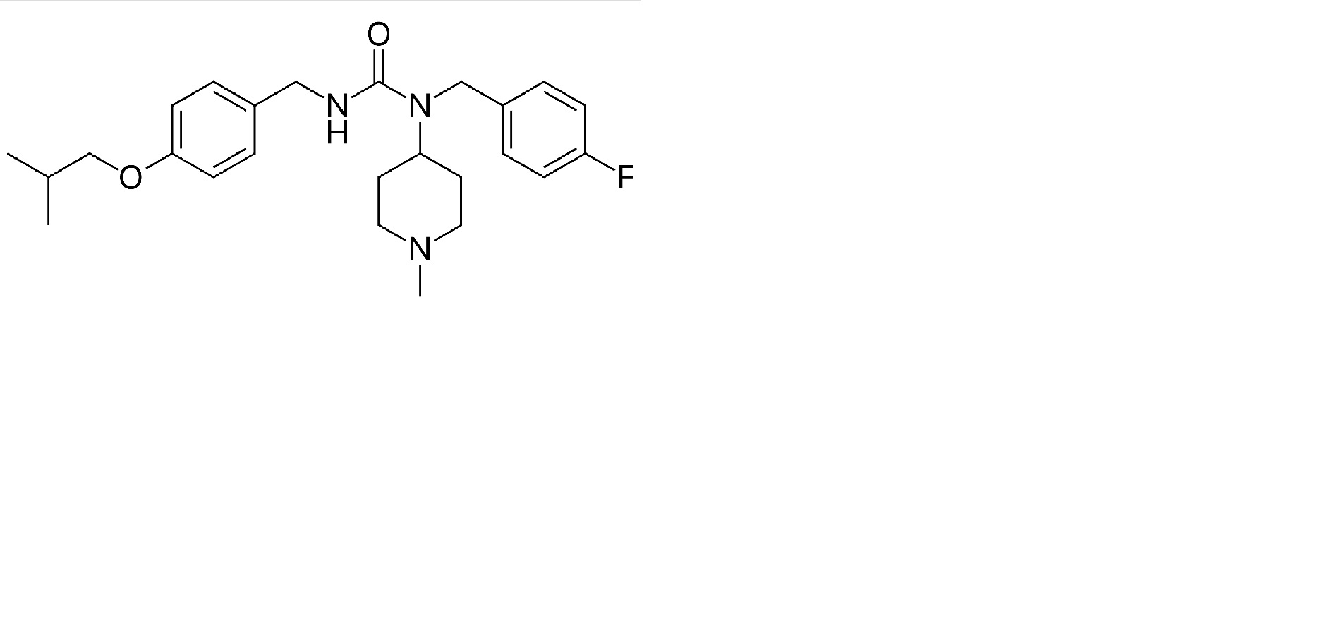
   χημική δομή  

Πόσιμο διάλυμα
Σταθερότητα και συμβατότητα των φαρμάκων   Πόσιμο διάλυμα   Σταθερότητα και συμβατότητα των φαρμάκων : Pimavanserin     
Υποδοχέας Origine Έκδοχο Θερμοκρασία Αποθήκευση Διάρκεια σταθερότητας Βιβλιογραφία
Απροσδιόριστο Κάψουλα 34 mg
Nuplazid®
Κεκαθαρμένο νερό >> 40 mL
25°C Απροσδιόριστο
24 Ώρα
4484
Απροσδιόριστο Κάψουλα 34 mg
Nuplazid®
Χυμός πορτοκαλιού >> 60 mL
25°C Απροσδιόριστο
24 Ώρα
4484
Απροσδιόριστο Κάψουλα 34 mg
Nuplazid®
Πουρές μήλων >> 40 g
25°C Απροσδιόριστο
24 Ώρα
4484

  Mentions Légales