Laatste update :
18/03/2026
anti dementie   Pimavanserin  
Orale Oplossing
Stabiliteit van farmaceutische preparaten Stabiliteit in mengsels Factoren die de stabiliteit beïnvloeden Verenigbaarheden Literatuur pdf
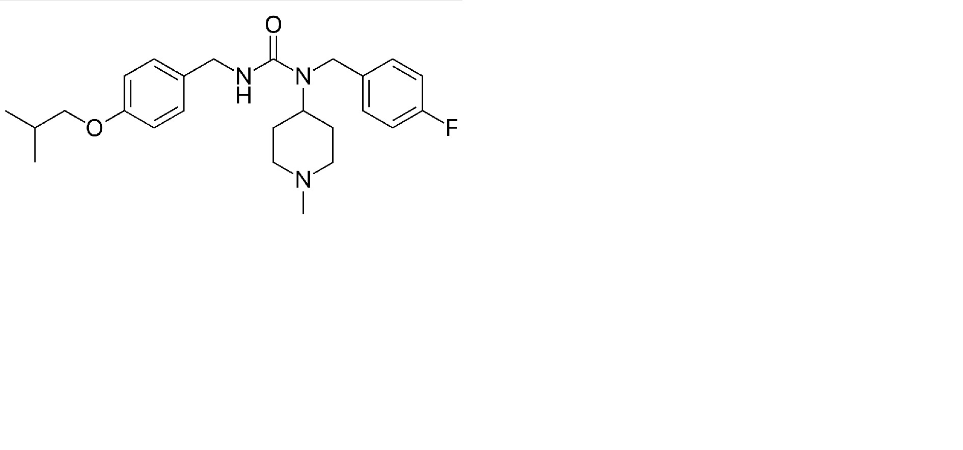
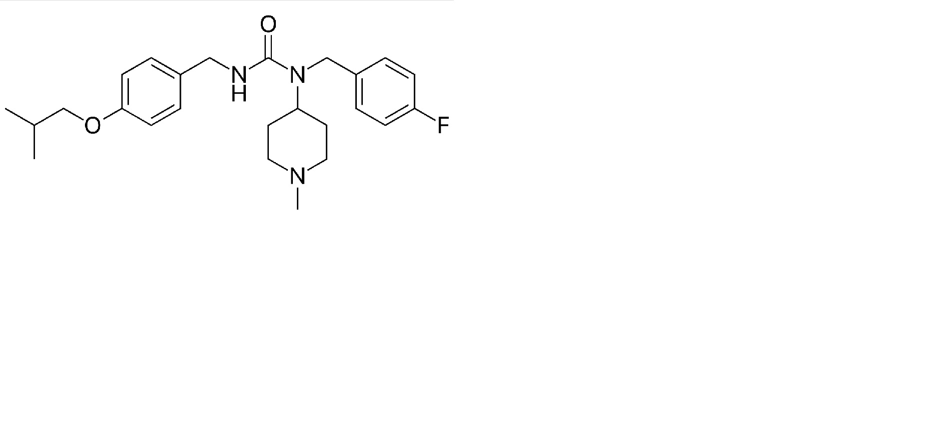
   Molecuulstructuur  

Orale Oplossing
Stabiliteit van farmaceutische preparaten   Orale Oplossing   Stabiliteit van farmaceutische preparaten : Pimavanserin     
Verpakking Origine  ikˈsipēənt hulpstof Temperatuur Bewaring Duur van de stabiliteit Literatuur
Niet gespecificeerd capsules 34 mg
Nuplazid®
gezuiverd water >> 40 mL
25°C Niet gespecificeerd
24 Uur
4484
Niet gespecificeerd capsules 34 mg
Nuplazid®
sinaasappelsap >> 60 mL
25°C Niet gespecificeerd
24 Uur
4484
Niet gespecificeerd capsules 34 mg
Nuplazid®
appelmoes >> 40 g
25°C Niet gespecificeerd
24 Uur
4484

  Mentions Légales