Poslední aktualizace :
12/12/2025
anti demencija   Pimavanserin  
Geriamas tirpalas
Stabilumas farmacinių preparatų Mišinių stabilumas Stabilumą lemiantys veiksniai Suderinamumas Bibliografija pdf
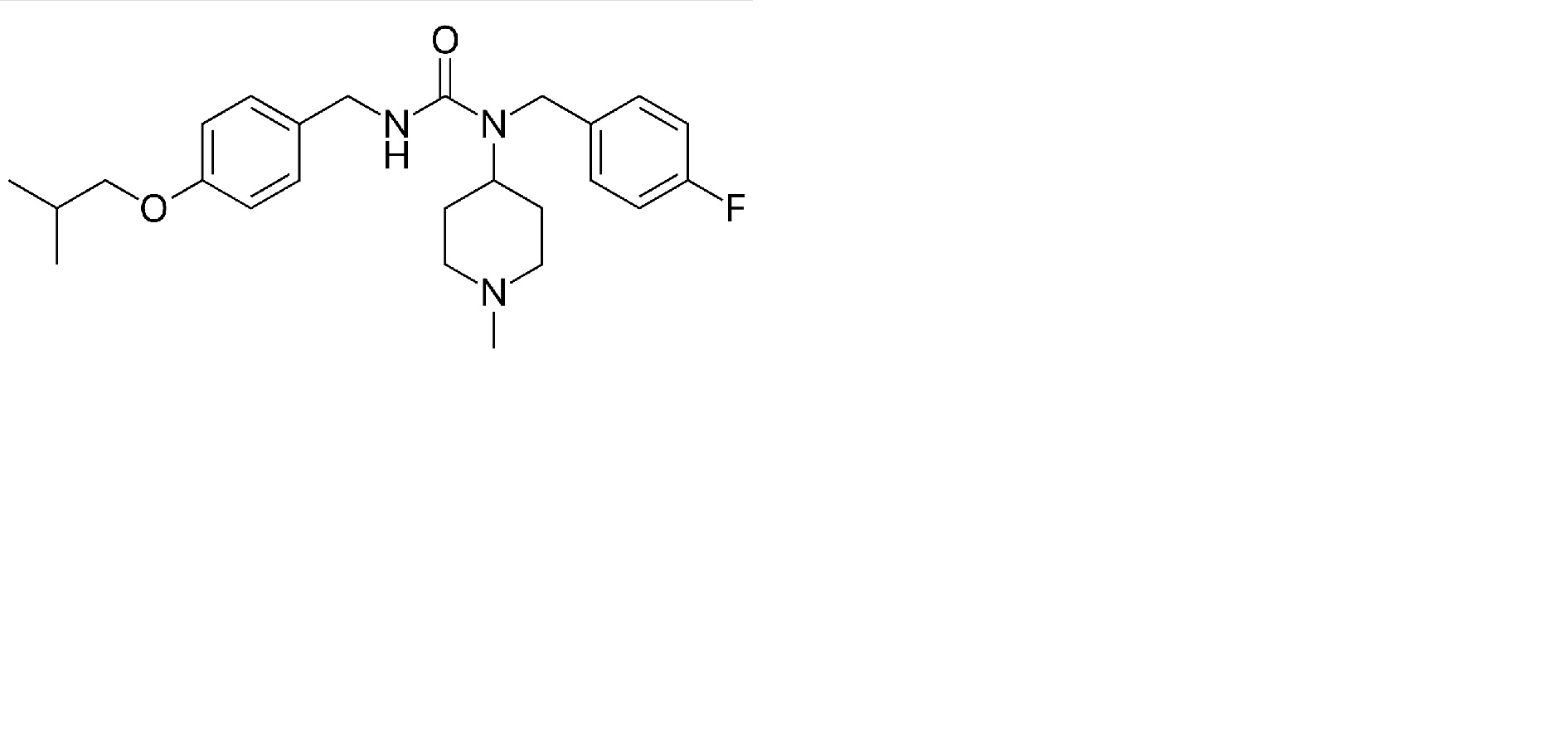
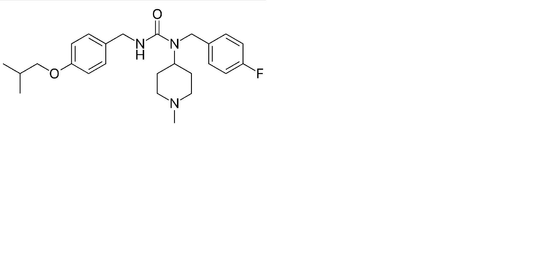
   Cheminė sandara  

Geriamas tirpalas
Stabilumas farmacinių preparatų   Geriamas tirpalas   Stabilumas farmacinių preparatų : Pimavanserin     
Pakuotė Origine Ekscipientas Temperatūra Laikymas Stabilumo trukmė Nuorodos
Nenurodyta Kapsulės 34 mg
Nuplazid®
Išvalytas vanduo >> 40 mL
25°C Nenurodyta
24 Valanda
4484
Nenurodyta Kapsulės 34 mg
Nuplazid®
Apelsinų sultys >> 60 mL
25°C Nenurodyta
24 Valanda
4484
Nenurodyta Kapsulės 34 mg
Nuplazid®
Obuolių sultys >> 40 g
25°C Nenurodyta
24 Valanda
4484

  Mentions Légales