Zadnji put ažurirano :
27/11/2025
anti demencija   Pimavanserin  
oralna otopina
Stabilnost farmaceutskih pripravaka Stabilnost mješavine Stabilizacijski faktor Kompatibilnosti Bibliografija pdf
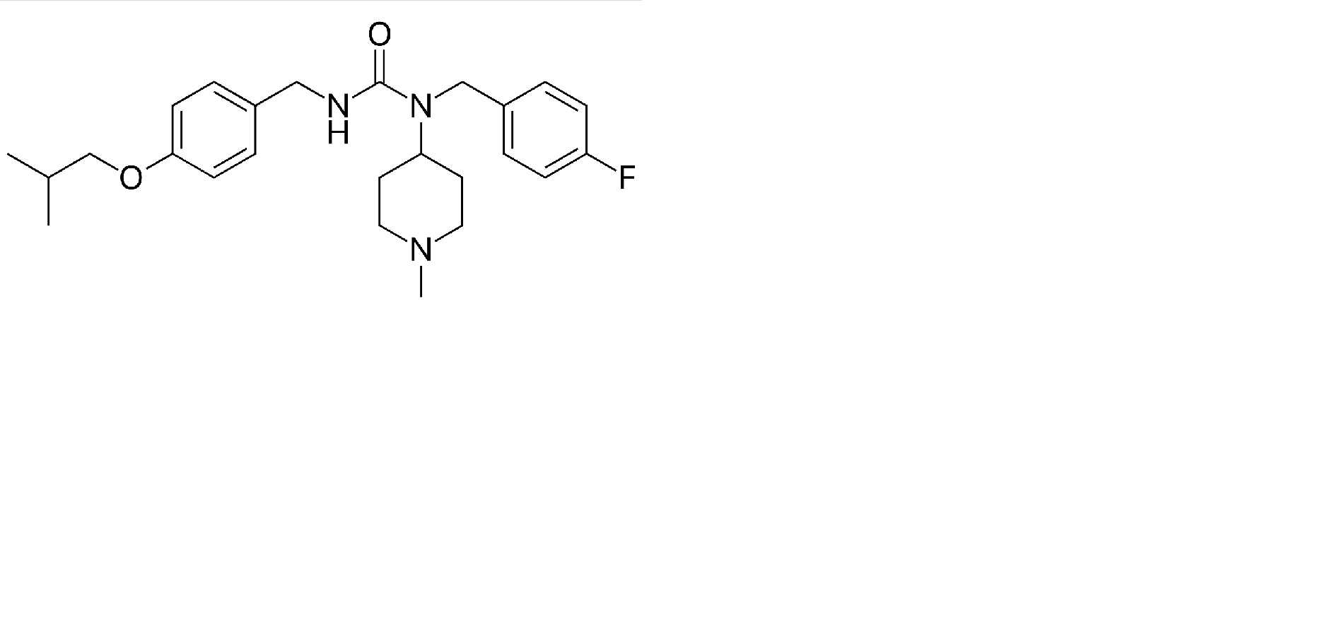
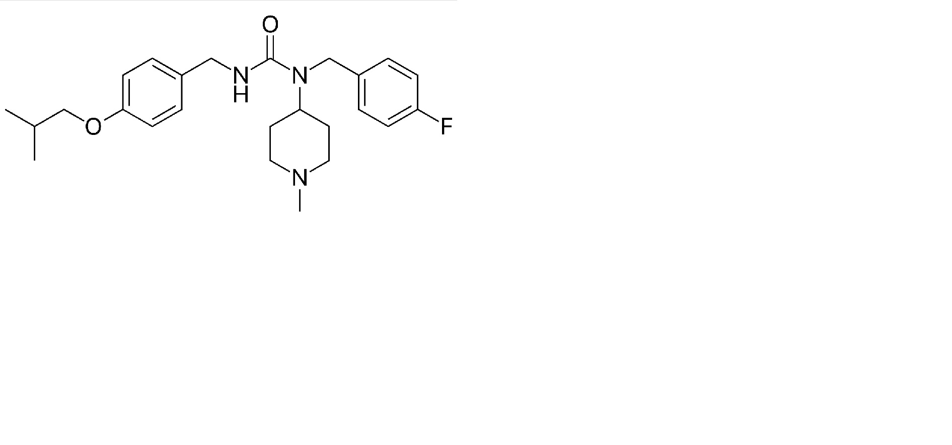
   Kemijska struktura  

oralna otopina
Stabilnost farmaceutskih pripravaka   oralna otopina     Stabilnost farmaceutskih pripravaka : Pimavanserin     
Kontejner Origine pomoćna tvar temperatura Konzerviranje Trajanje stabilnosti Bibliografija
nespecifičan kapsula 34 mg
Nuplazid®
pročišćena voda >> 40 mL
25°C nespecifičan
24 sat
4484
nespecifičan kapsula 34 mg
Nuplazid®
sok od naranče >> 60 mL
25°C nespecifičan
24 sat
4484
nespecifičan kapsula 34 mg
Nuplazid®
kaša od jabuka >> 40 g
25°C nespecifičan
24 sat
4484

  Mentions Légales