Utolsó frissítés :
18/03/2026
Antibiotikum   Co-trimoxazole  
belsőleges oldat
Injekció
Stabilitása gyógyszerészeti készítmények A keverékek stabilitása Stabilitást befolyásoló tényezők Kompatibilitás Irodalom pdf
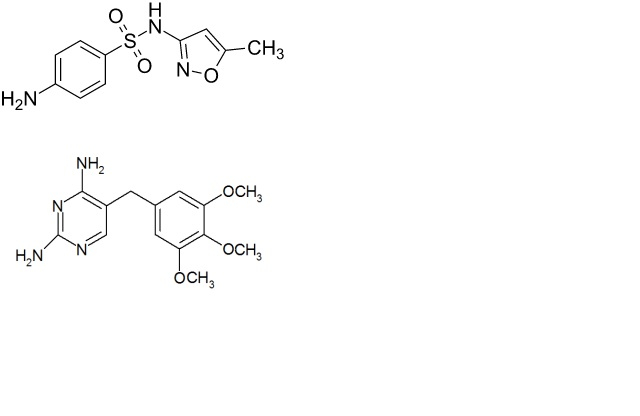
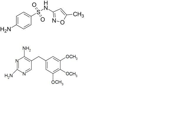
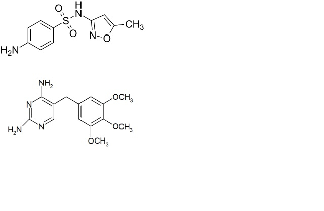
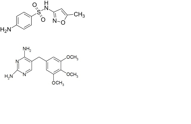
   Kémiai szerkezet   

belsőleges oldat
A keverékek stabilitása   belsőleges oldat   A keverékek stabilitása : Co-trimoxazole     
Hiányzó adat

  Mentions Légales