Posledná aktualizácia :
18/03/2026
antibiotikum   Co-trimoxazole  
Perorálny roztok
Injekcia
Stabilita farmaceutických prípravkov Stabilita v zmesiach Faktory ovplyvňujúce stabilitu Kompatibility Odkazy na literatúru PDF
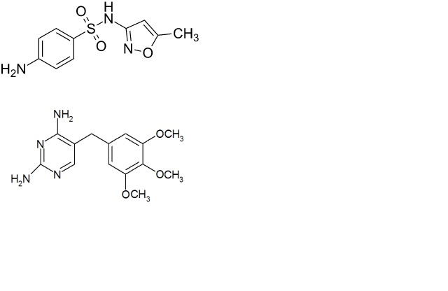
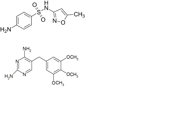
   Chemický vzorec  

Perorálny roztok
Stabilita v zmesiach   Perorálny roztok   Stabilita v zmesiach : Co-trimoxazole     
žiadne údaje

  Mentions Légales