Ultimele actualizari :
18/03/2026
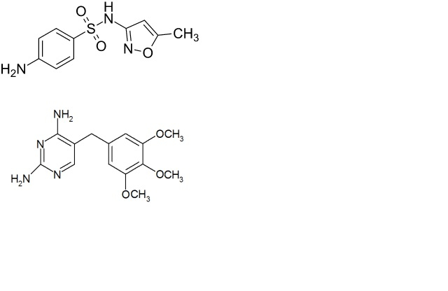
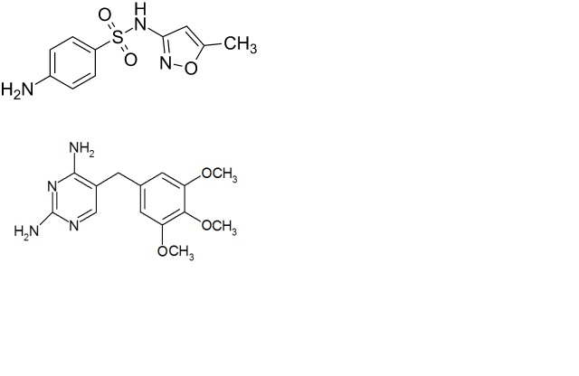
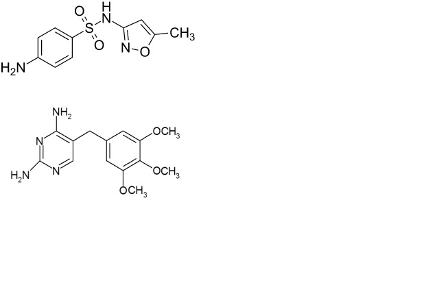
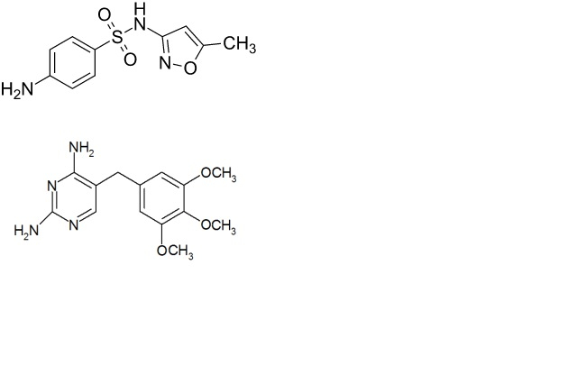
Antibiotic   Co-trimoxazole  
Soluţie orală
Injectabil
Stabilitatea preparatelor farmaceutice Stabilitatea in amestec Factorii care influenteaza stabilitatea Compatibilitate Bibliografie pdf
   Formula chimica  

Soluţie orală
Stabilitatea in amestec   Soluţie orală   Stabilitatea in amestec : Co-trimoxazole     
Absenta de date

  Mentions Légales