最新更新 :
18/03/2026
抗生素   Co-trimoxazole  
口服剂
注射液
制剂的稳定性 混合物稳定性 影响稳定性的因素 兼容性 引用文献 PDF
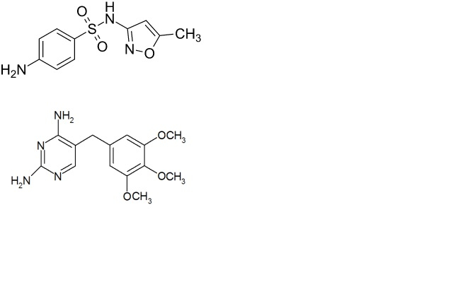
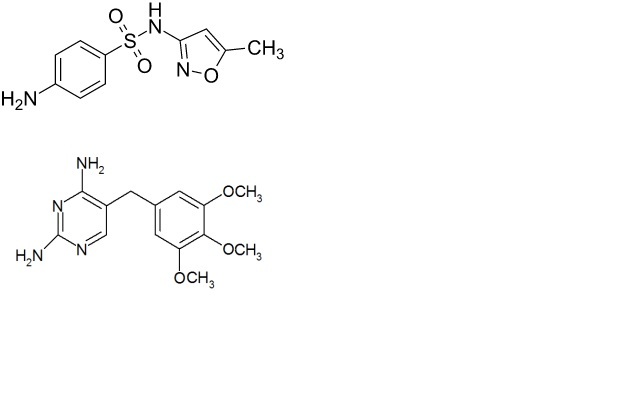
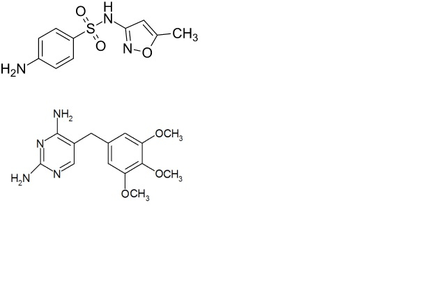
   化学式  

口服剂
混合物稳定性   口服剂   混合物稳定性 : Co-trimoxazole     
无数据

  Mentions Légales