آخر تحديث :
18/03/2026
مضاد حيوي   Co-trimoxazole  
عن طريق الفم
حقن
استقرار المستحضرات الصيدلانية استقرار مخاليط العوامل التي تؤثر على الاستقرار التوافق مراجع pdf
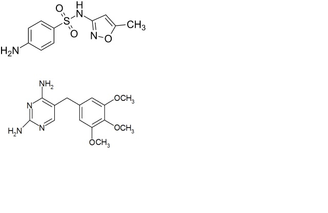
   التركيب الكيميائي  

عن طريق الفم
استقرار مخاليط   عن طريق الفم     استقرار مخاليط : Co-trimoxazole     
لا توجد بيانات

  Mentions Légales