Última actualização :
18/03/2026
antibiótico   Co-trimoxazole  
Solução Oral
injetável
Estabilidade de preparações farmacêuticas Estabilidade em misturas Factores que afectam a sua estabilidade Compatibilidade Bibliografía pdf
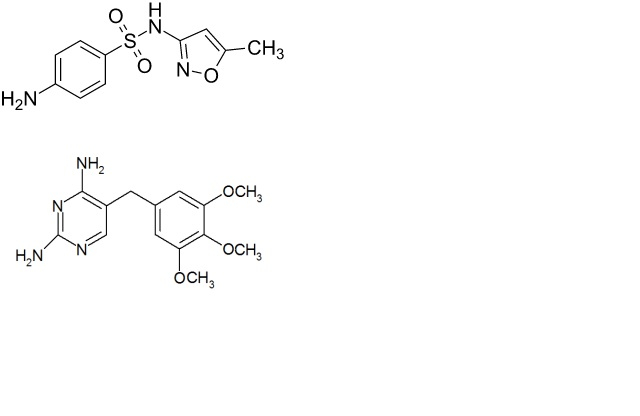
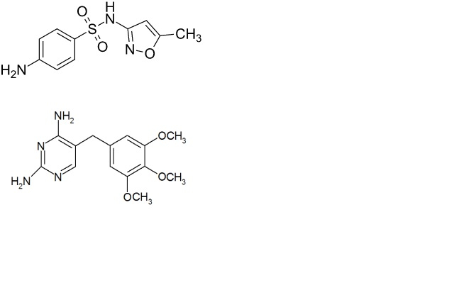
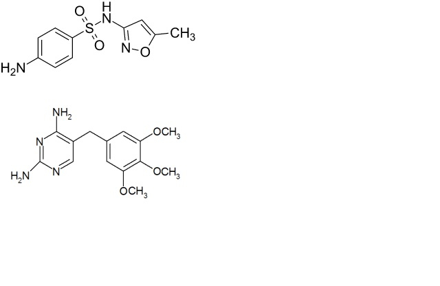
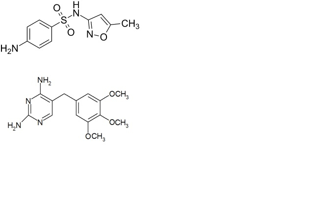
   estrutura química  

Solução Oral

Factores que afectam a sua estabilidade   Solução Oral   Factores que afectam a sua estabilidade : Co-trimoxazole        
Ausência de dados

  Mentions Légales