Zadnji put ažurirano :
03/02/2026
antibiotik   Co-trimoxazole  
oralna otopina
injekcija
Stabilnost farmaceutskih pripravaka Stabilnost mješavine Stabilizacijski faktor Kompatibilnosti Bibliografija pdf
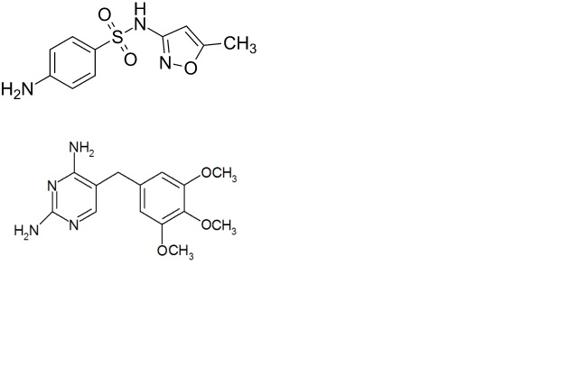
   Kemijska struktura  

oralna otopina

Stabilizacijski faktor   oralna otopina     Stabilizacijski faktor : Co-trimoxazole        
bez podataka

  Mentions Légales