Letztes “update” :
18/03/2026
Antibiotikum   Co-trimoxazole  
Lösung zum Einnehmen
Injektion
Stabilität von pharmazeutischen Präparaten Gemengestabilität Stabilitätbeeinflussende Faktoren Kompatibilitäten Literaturverzeichnis pdf
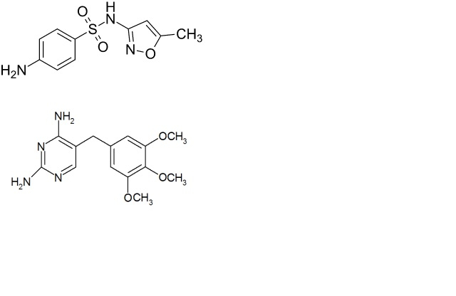
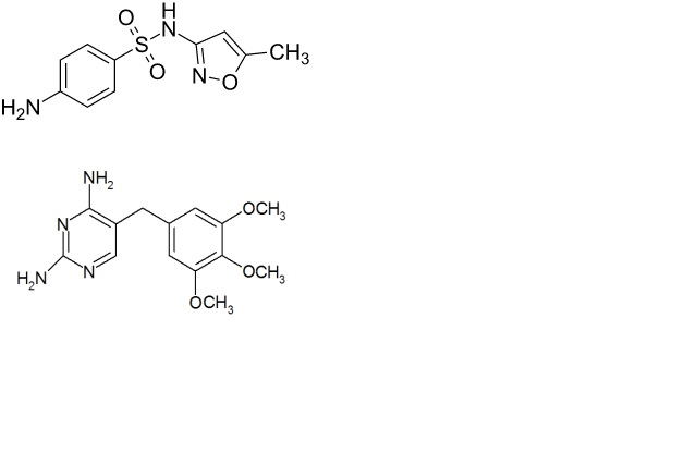
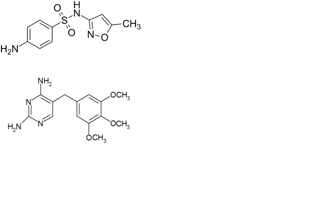
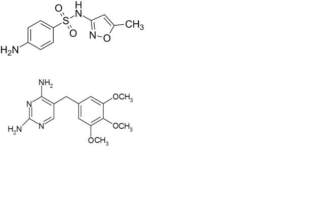
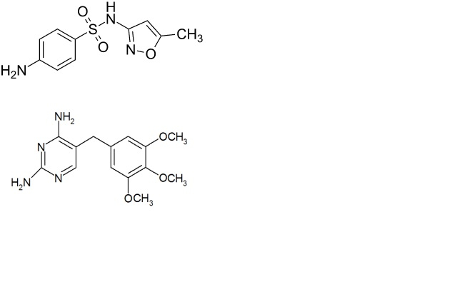
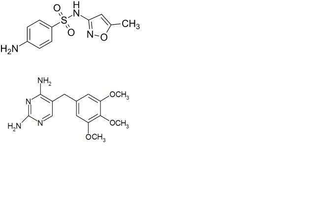
   Chemische Struktur  

Lösung zum Einnehmen

Stabilitätbeeinflussende Faktoren   Lösung zum Einnehmen   Stabilitätbeeinflussende Faktoren : Co-trimoxazole        
Keine Daten

  Mentions Légales