Ostatnia aktualizacja :
05/12/2025
Antybiotyk   Co-trimoxazole  
Roztwór doustny
Injekcje
Stabilność preparatów farmaceutycznych Trwałość w mieszaninie Czynnik wpływający na trwałość Zgodność Bibliografia pdf
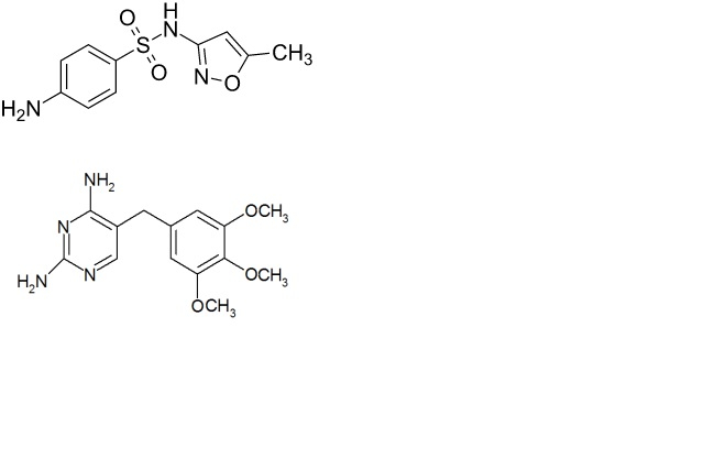
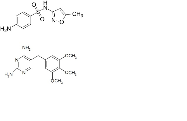
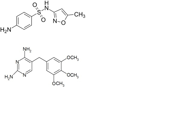
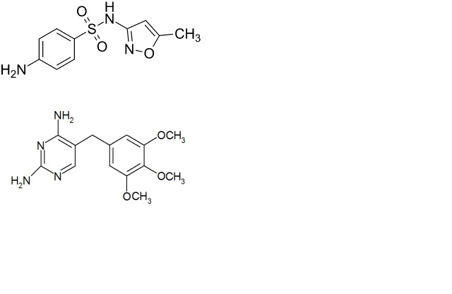
   Struktura chemiczna  

Roztwór doustny

Czynnik wpływający na trwałość   Roztwór doustny   Czynnik wpływający na trwałość : Co-trimoxazole        
Brak danych

  Mentions Légales