Ultimo aggiornamento :
05/12/2025
Antibiotico   Co-trimoxazole  
Soluzione orale
Iniezione
Stabilità dei preparati farmaceutici Stabilità in miscela Fattori che influenzano la stabilità Compatibilità Bibliografia pdf
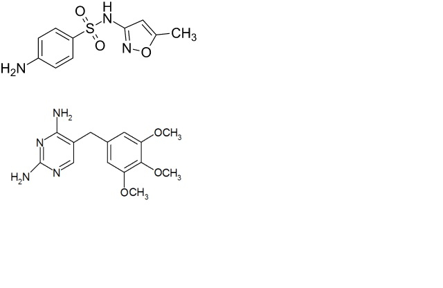
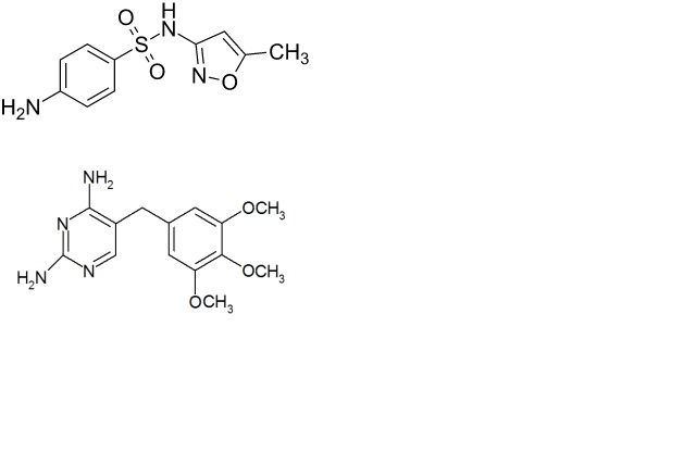
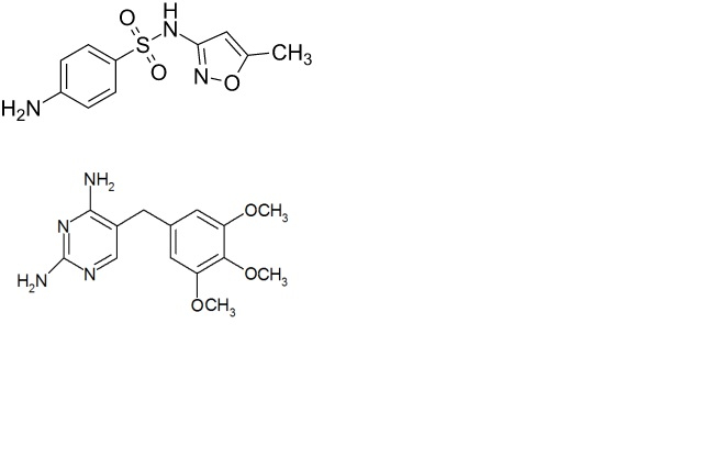
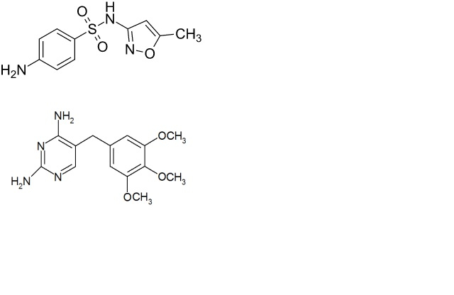
   Struttura chimica  

Soluzione orale

Fattori che influenzano la stabilità   Soluzione orale   Fattori che influenzano la stabilità : Co-trimoxazole        
Assenza di dati

  Mentions Légales