Poslední aktualizace :
03/02/2026
Antibiotikum   Co-trimoxazole  
Perorální roztok
injekce
Stabilita farmaceutických přípravků Stabilita směsí Faktory ovlivňující stabilitu Kompatibilita Odkazy pdf
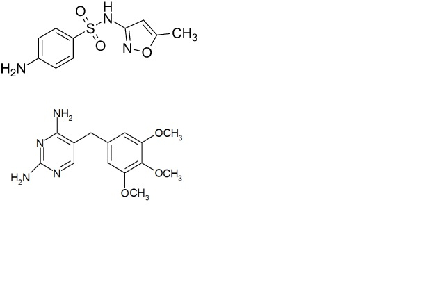
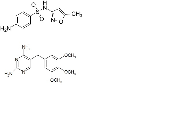
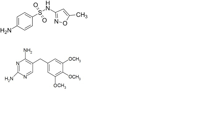
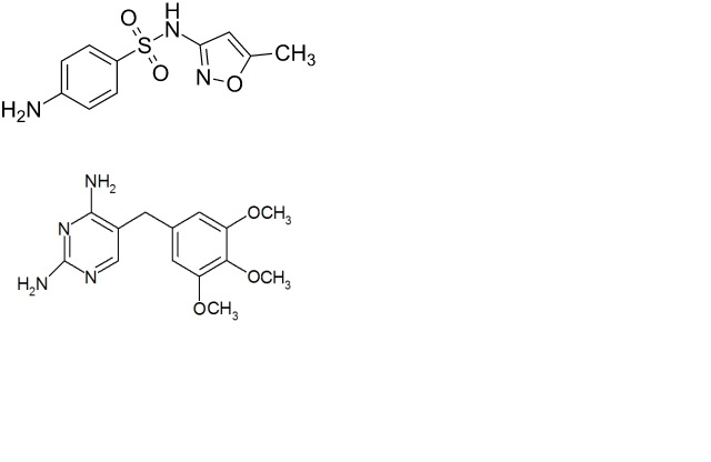
   Chemický vzorec  

Perorální roztok

Faktory ovlivňující stabilitu   Perorální roztok   Faktory ovlivňující stabilitu : Co-trimoxazole        
žádná data

  Mentions Légales