Dernière mise à jour :
03/02/2026
Antibiotique   Co-trimoxazole  
Solution buvable
injectable
Stabilité des préparations Stabilité en mélange Facteur influençant la stabilité Compatibilités Bibliographie pdf
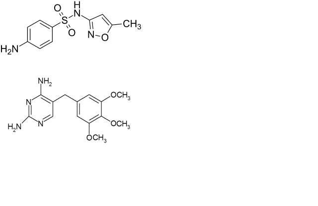
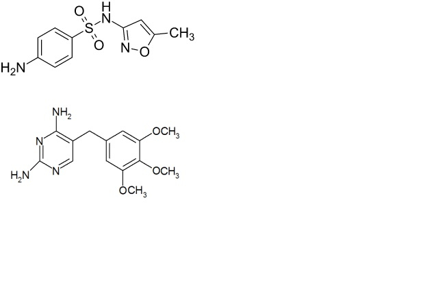
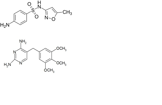
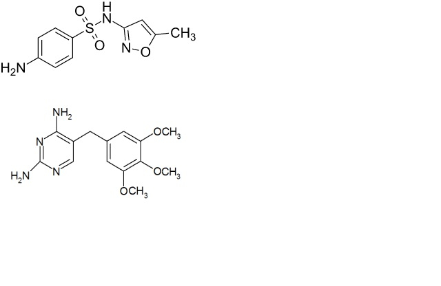
   Structure chimique  

Solution buvable

Facteur influençant la stabilité   Solution buvable   Facteur influençant la stabilité : Co-trimoxazole        
Aucune donnée

  Mentions Légales