Cập nhật lần cuối :
31/03/2026
Thuốc chống loạn nhịp   Propafenone Hydrochloride  
Dung dịch uống
Dạng tiêm
Tính ổn định của các chế phẩm Độ ổn định khi trộn lẫn Những yếu tố ảnh hưởng đến độ ổn định Khả năng tương thích Tài liệu tham khảo Pdf
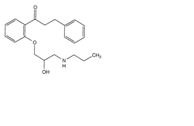
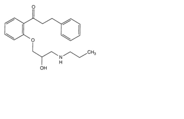
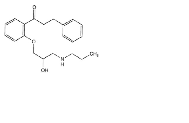
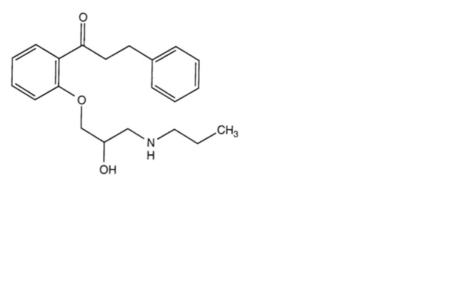
   Cấu trúc hóa học  

Dung dịch uống

Những yếu tố ảnh hưởng đến độ ổn định   Dung dịch uống   Những yếu tố ảnh hưởng đến độ ổn định : Propafenone Hydrochloride        
Không có dữ liệu

  Mentions Légales