Pēdējā atjaunošana :
31/03/2026
Antiaritmiķis   Propafenone Hydrochloride  
Orāls šķīdums
Injekcija
Stabilitāte farmaceitisko preparātu Maisījuma stabilitāte Stabilitāti ietekmējoši faktori Saderība Literatūras saraksts pdf
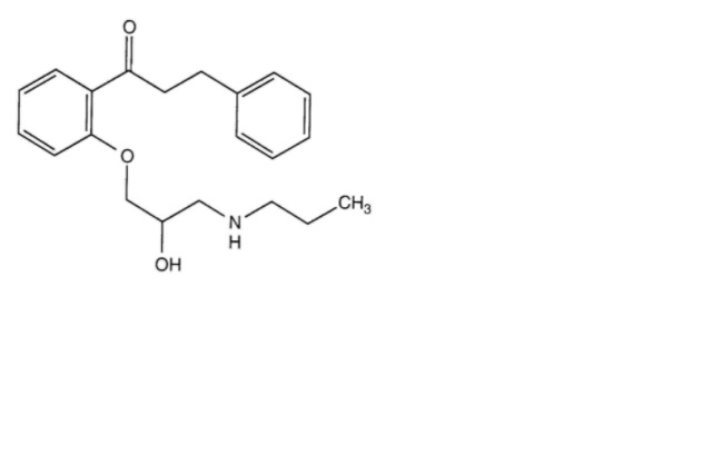
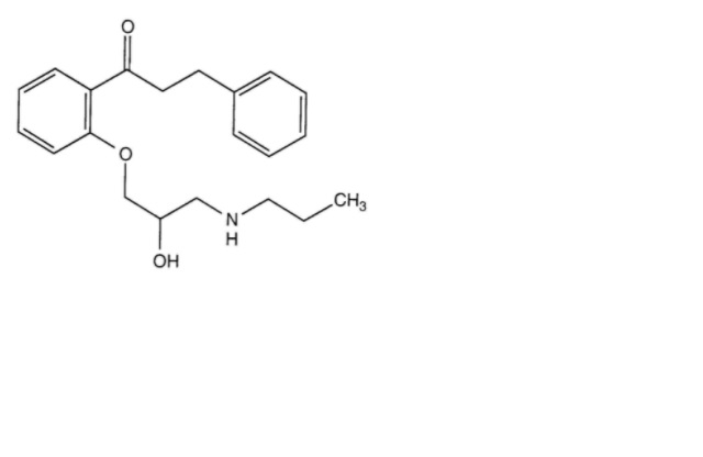
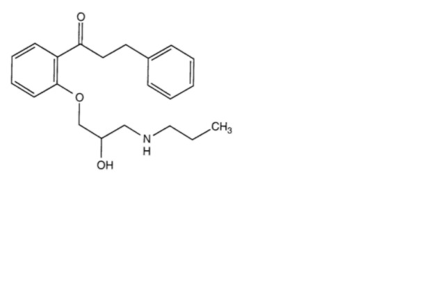
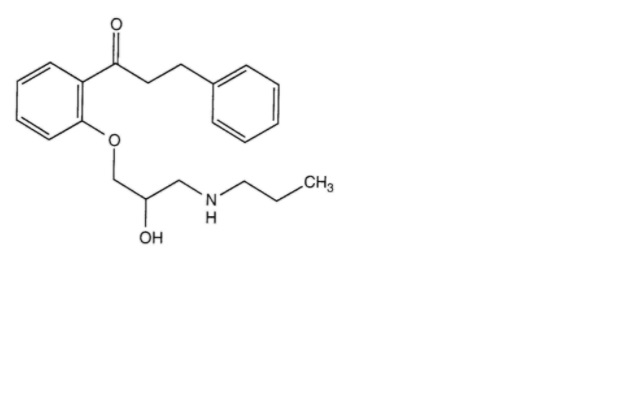
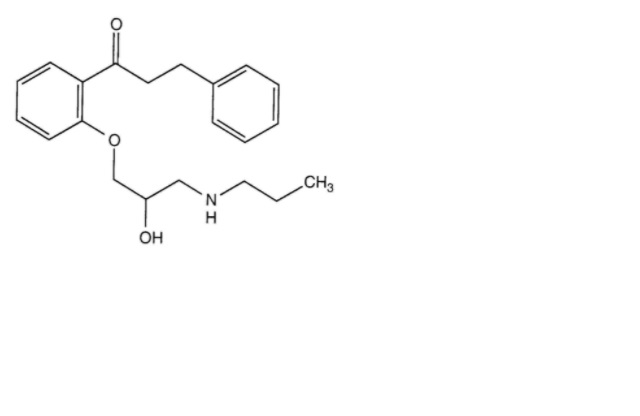
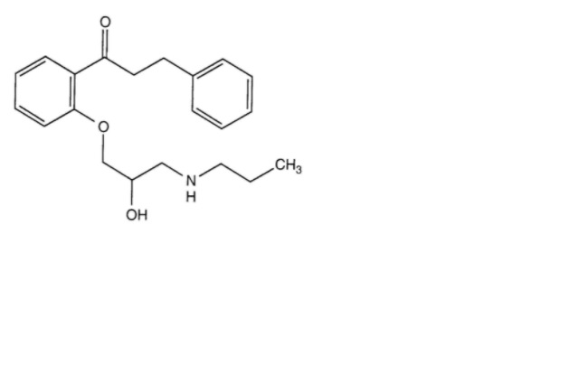
   Ķīmiskā uzbūve   

Orāls šķīdums

Stabilitāti ietekmējoši faktori   Orāls šķīdums   Stabilitāti ietekmējoši faktori : Propafenone Hydrochloride        
Nav datu

  Mentions Légales