zadnja posodobitev :
31/03/2026
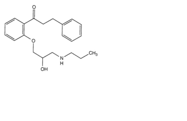
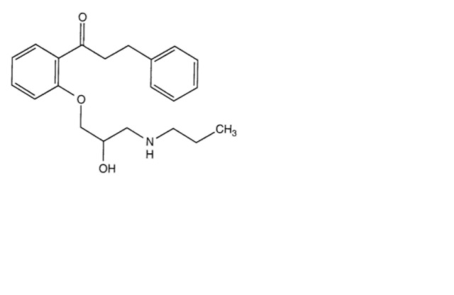
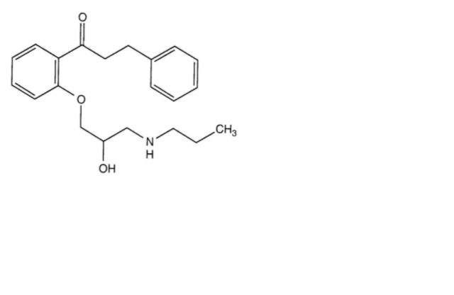
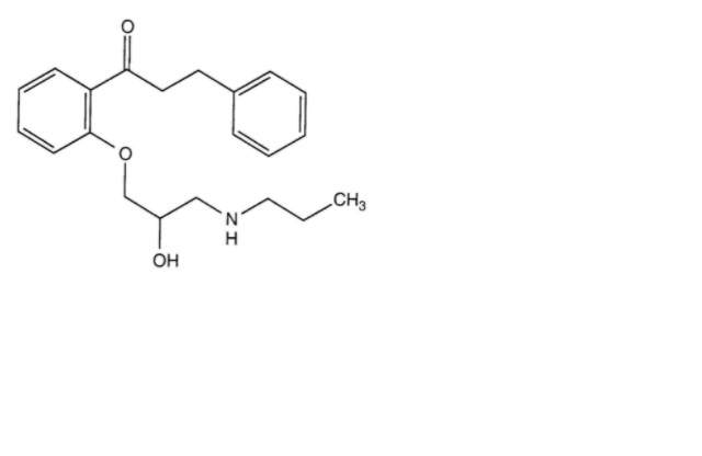
Antiaritmik   Propafenone Hydrochloride  
Peroralna raztopina
Brizgalka
Stabilnost farmacevtskih preparatov Stabilnost mešanice Faktorji, ki vplivajo na stabilnost Kompatibilnost Viri pdf
   Kemična formula  

Peroralna raztopina

Faktorji, ki vplivajo na stabilnost   Peroralna raztopina   Faktorji, ki vplivajo na stabilnost : Propafenone Hydrochloride        
ni podatka

  Mentions Légales