Poslední aktualizace :
31/03/2026
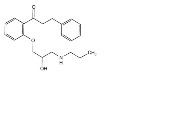
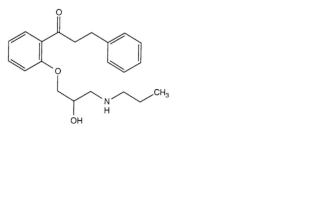
Antiaritmikas   Propafenone Hydrochloride  
Geriamas tirpalas
Įpurškimas
Stabilumas farmacinių preparatų Mišinių stabilumas Stabilumą lemiantys veiksniai Suderinamumas Bibliografija pdf
   Cheminė sandara  

Geriamas tirpalas

Stabilumą lemiantys veiksniai   Geriamas tirpalas   Stabilumą lemiantys veiksniai : Propafenone Hydrochloride        
Nėra duomenų

  Mentions Légales