Ostatnia aktualizacja :
31/03/2026
Antyarytmik   Propafenone Hydrochloride  
Roztwór doustny
Injekcje
Stabilność preparatów farmaceutycznych Trwałość w mieszaninie Czynnik wpływający na trwałość Zgodność Bibliografia pdf
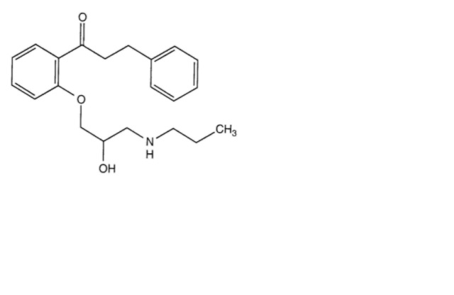
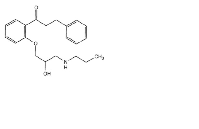
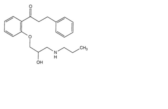
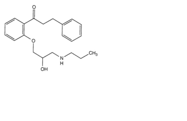
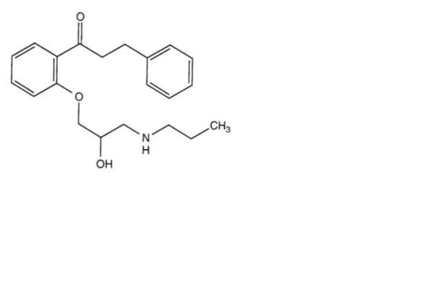
   Struktura chemiczna  

Roztwór doustny

Czynnik wpływający na trwałość   Roztwór doustny   Czynnik wpływający na trwałość : Propafenone Hydrochloride        
Brak danych

  Mentions Légales