Последно актуализиране :
31/03/2026
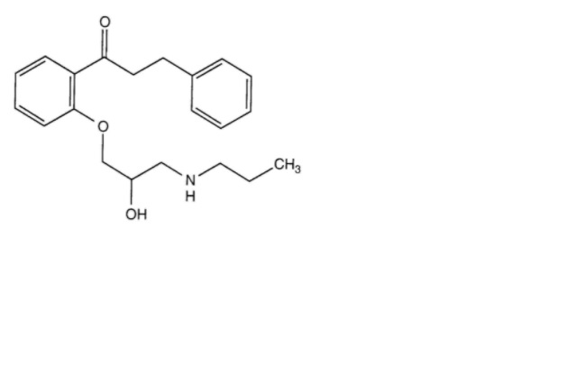
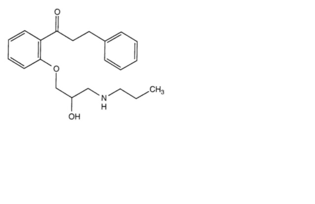
Антиаритмик   Propafenone Hydrochloride  
Орален разтвор
Инжекция/Инжекционен
Стабилност на лекарствени препарати Стабилност на смеси Фактори, повлияващи стабилността Съвместимост Библиография Pdf
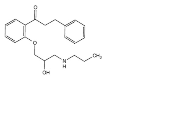
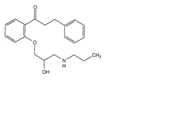
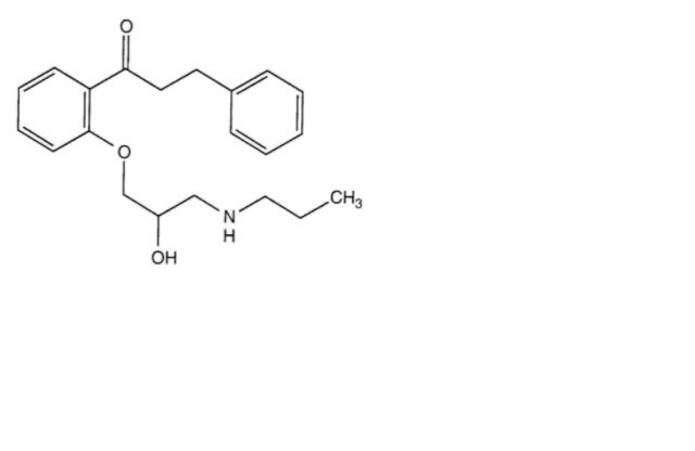
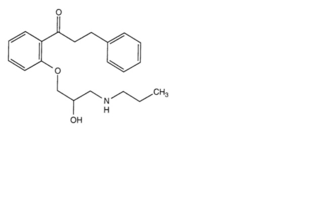
   Химична структура  

Орален разтвор

Фактори, повлияващи стабилността   Орален разтвор   Фактори, повлияващи стабилността : Propafenone Hydrochloride        
Няма данни

  Mentions Légales