zadnja posodobitev :
18/03/2026
rak drog   Pemetrexed diarginine  
Brizgalka
Stabilnost raztopine Stabilnost mešanice Faktorji, ki vplivajo na stabilnost Kompatibilnost način aplikacije Viri pdf
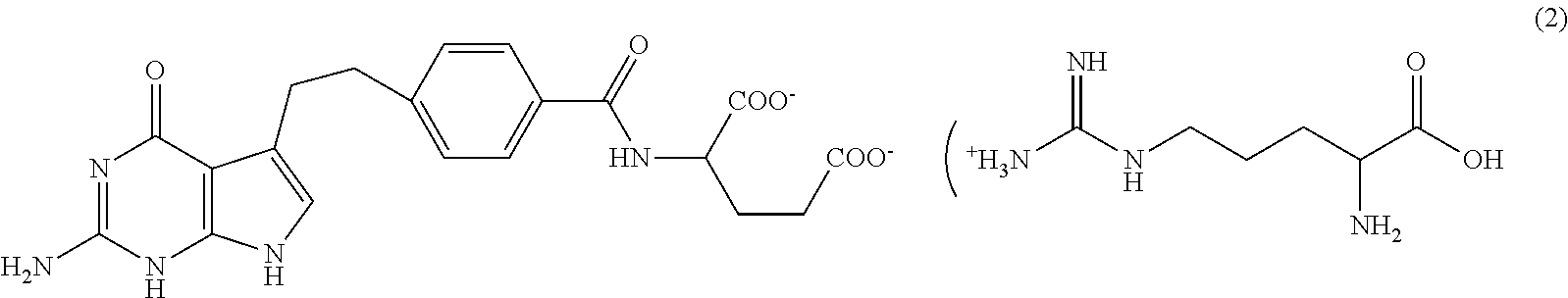
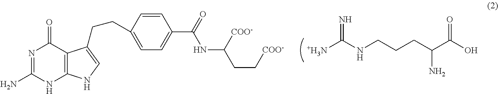
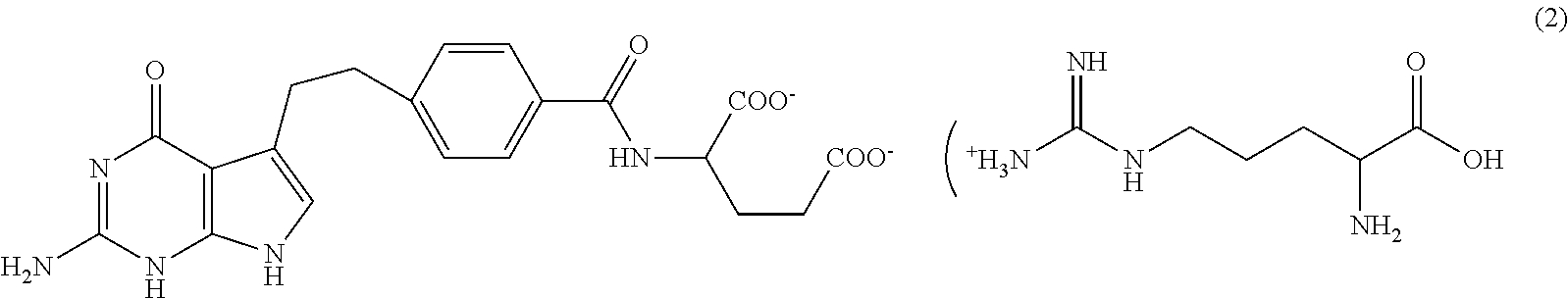
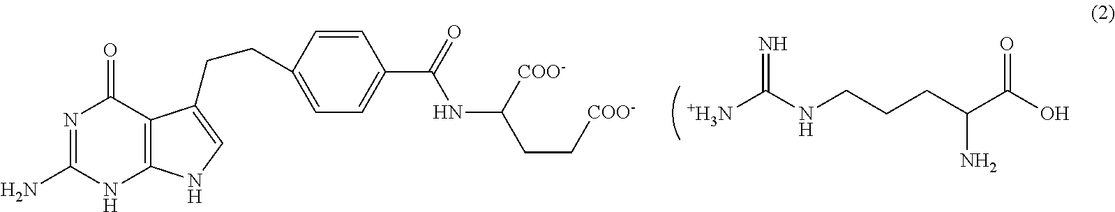
   Kemična formula  

Lastniško ime   Lastniško ime     

Sestava pomožnih snovi je med paralelami lahko različna

Pemetrexed Mylan Francija
Pemetrexed Ohre Pharma Francija
Pemetrexed Zentiva Francija

Faktorji, ki vplivajo na stabilnost   Brizgalka   Faktorji, ki vplivajo na stabilnost : Pemetrexed diarginine        
ni podatka

  Mentions Légales