Seneste opdatering :
18/03/2026
anticancer medicin   Pemetrexed diarginine  
Injektion
Stabilitet i (vandige) opløsninger Stabilitet i blandinger Faktorer der påvirker stabiliteten Kompatibilitet Administrationsvej Bibliografi pdf
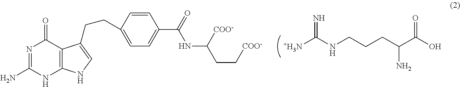
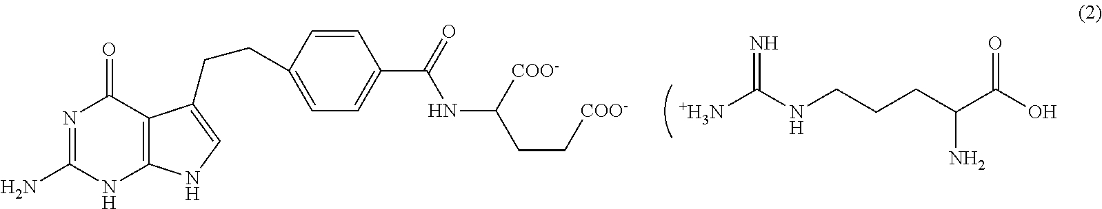
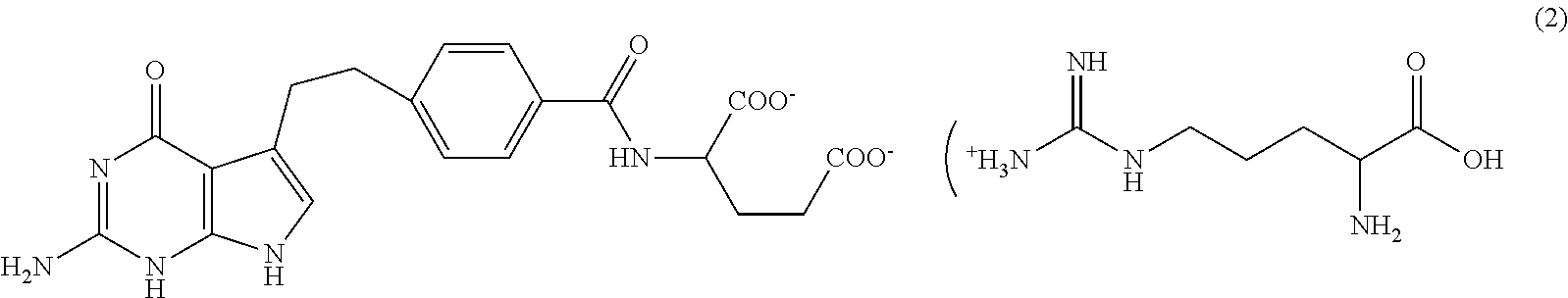
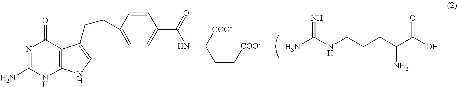
   Kemisk struktur  

Handelsnavn   Handelsnavn     

Handel navne er vejledende og hjælpestoffer sammensætning kan være forskellig afhængigt af landet og laboratorier

Pemetrexed Mylan Frankrig
Pemetrexed Ohre Pharma Frankrig
Pemetrexed Zentiva Frankrig

Faktorer der påvirker stabiliteten   Injektion   Faktorer der påvirker stabiliteten : Pemetrexed diarginine        
Ingen data

  Mentions Légales