Pēdējā atjaunošana :
18/03/2026
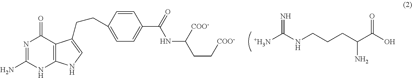
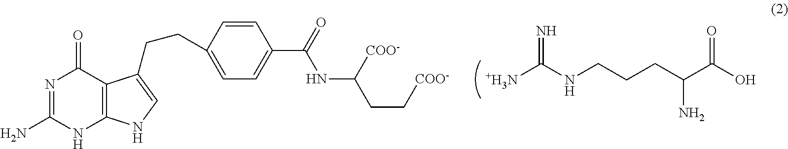
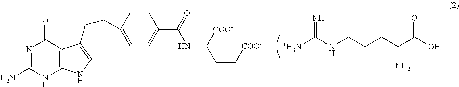
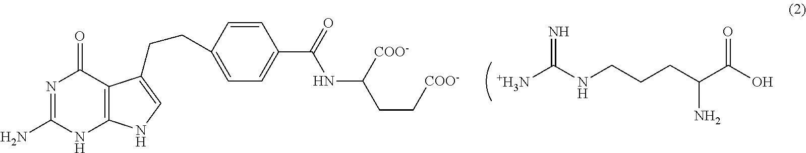
vēzis narkotiku   Pemetrexed diarginine  
Injekcija
Šķīduma stabilitāte Maisījuma stabilitāte Stabilitāti ietekmējoši faktori Saderība Levadīšanas veids Literatūras saraksts pdf
   Ķīmiskā uzbūve   

Oriģinālais nosaukums   Oriģinālais nosaukums     

Tirdzniecības nosaukumi ir apzīmējoši un palīgvielas var atšķirties dažādām valstīm un laboratorijām

Pemetrexed Mylan Francija
Pemetrexed Ohre Pharma Francija
Pemetrexed Zentiva Francija

Stabilitāti ietekmējoši faktori   Injekcija   Stabilitāti ietekmējoši faktori : Pemetrexed diarginine        
Nav datu

  Mentions Légales