آخر تحديث :
18/03/2026
المضادة للسرطان المخدرات   Pemetrexed diarginine  
حقن
الاستقرار في حلول استقرار مخاليط العوامل التي تؤثر على الاستقرار التوافق طريقة التعاطي مراجع pdf
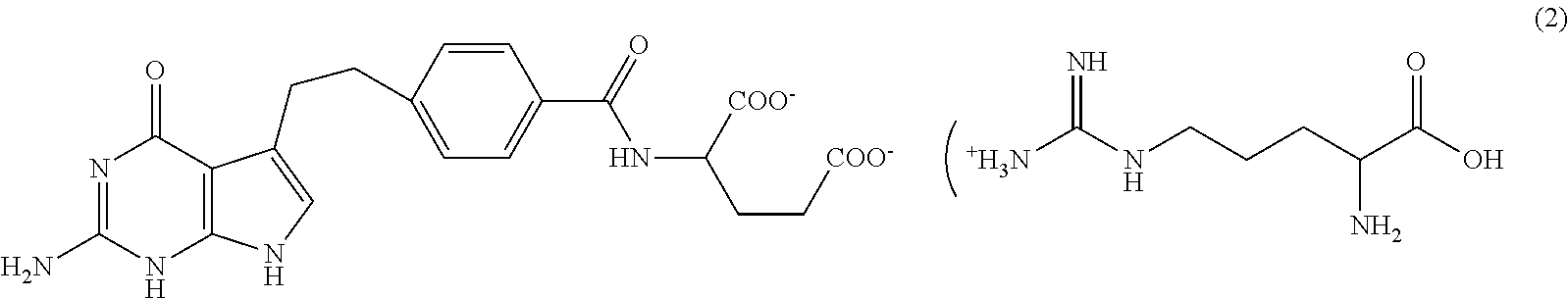
   التركيب الكيميائي  

حجز الاسم التجاري   حجز الاسم التجاري     

تحذير الأسماء التجاريه المختلفه قد تحتوي علي محتوي إضافات مختلفة حسب الدوله و المعمل

Pemetrexed Mylan فرنسا
Pemetrexed Ohre Pharma فرنسا
Pemetrexed Zentiva فرنسا

العوامل التي تؤثر على الاستقرار   حقن   العوامل التي تؤثر على الاستقرار : Pemetrexed diarginine        
لا توجد بيانات

  Mentions Légales