viimane versioon :
18/03/2026
vähiravimite   Pemetrexed diarginine  
Süsteravim
Stabiilsus lahustes Stabiilsust mõjutavad tegurid stabiilsust mõjutavad faktorid Sobimatus Manustamis viis Viited pdf
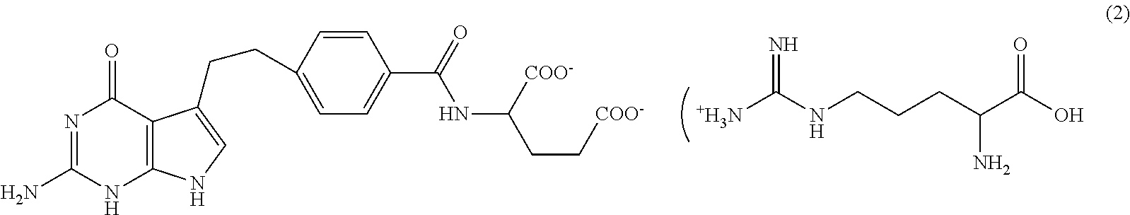
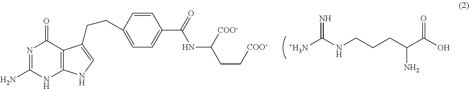
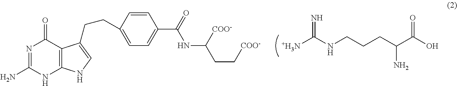
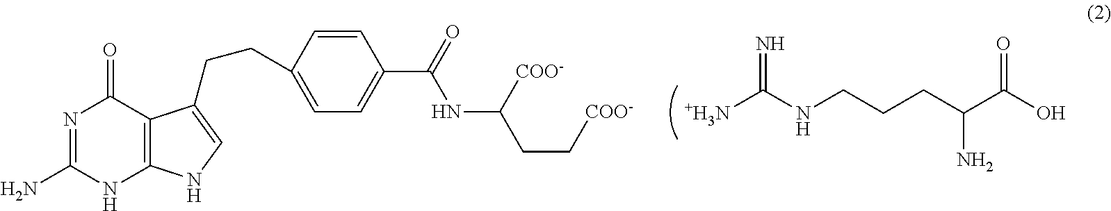
   keemiline struktuur  

Kaubanduslikud nimed erinevates maades   Kaubanduslikud nimed erinevates maades     

Preparaatide nimed on näitlikud ja abianete sisaldus võib erineda sõltuvalt riigist ja laborist

Pemetrexed Mylan Prantsusmaa
Pemetrexed Ohre Pharma Prantsusmaa
Pemetrexed Zentiva Prantsusmaa

stabiilsust mõjutavad faktorid   Süsteravim   stabiilsust mõjutavad faktorid : Pemetrexed diarginine        
andmed puuduvad

  Mentions Légales