Posledná aktualizácia :
18/03/2026
Protinádorová liečba   Pemetrexed diarginine  
Injekcia
Stabilita roztokov Stabilita v zmesiach Faktory ovplyvňujúce stabilitu Kompatibility spôsob podania Odkazy na literatúru PDF
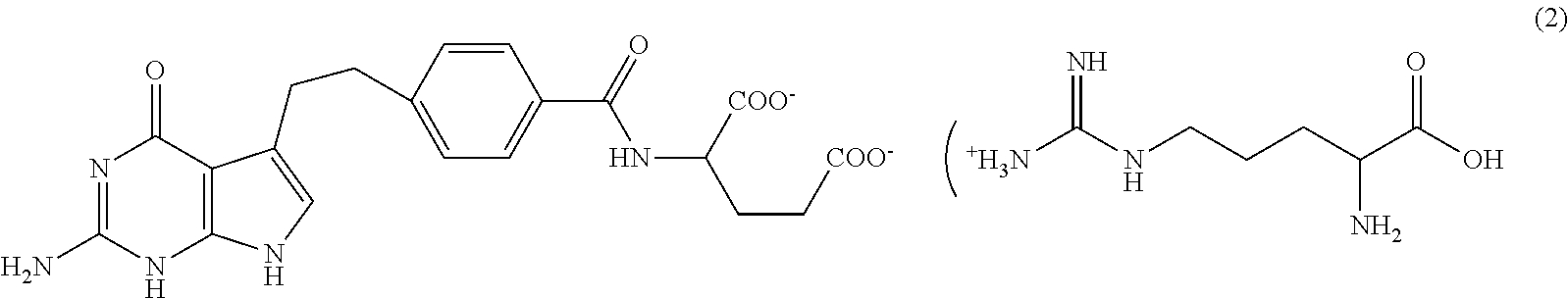
   Chemický vzorec  

Obchodný názov   Obchodný názov     

Obchodné názvy sú orientačné, a zloženie pomocných látok sa môže líšiť v závislosti od krajiny a výrobcu.

Pemetrexed Mylan Francúzsko
Pemetrexed Ohre Pharma Francúzsko
Pemetrexed Zentiva Francúzsko

Faktory ovplyvňujúce stabilitu   Injekcia   Faktory ovplyvňujúce stabilitu : Pemetrexed diarginine        
žiadne údaje

  Mentions Légales