Utolsó frissítés :
18/03/2026
rákellenes gyógyszer   Pemetrexed diarginine  
Injekció
Az oldatok stabilitása A keverékek stabilitása Stabilitást befolyásoló tényezők Kompatibilitás Az alkalmazás módja Irodalom pdf
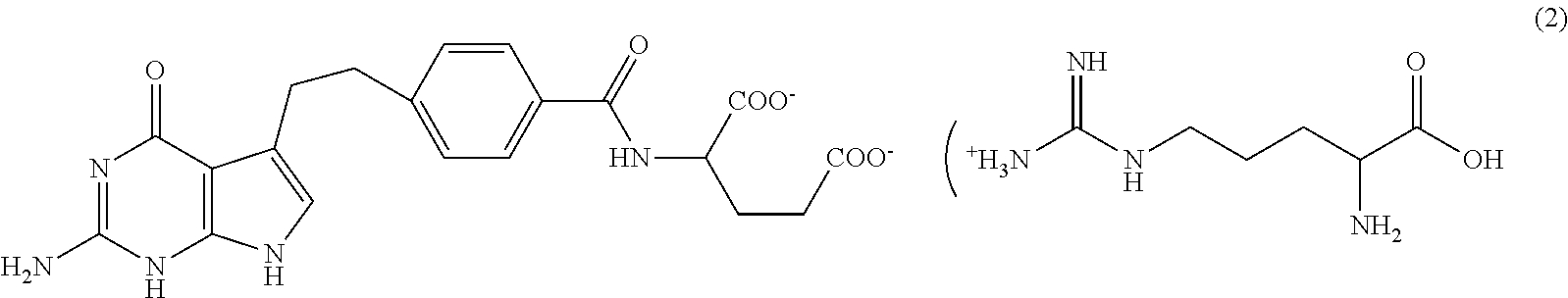
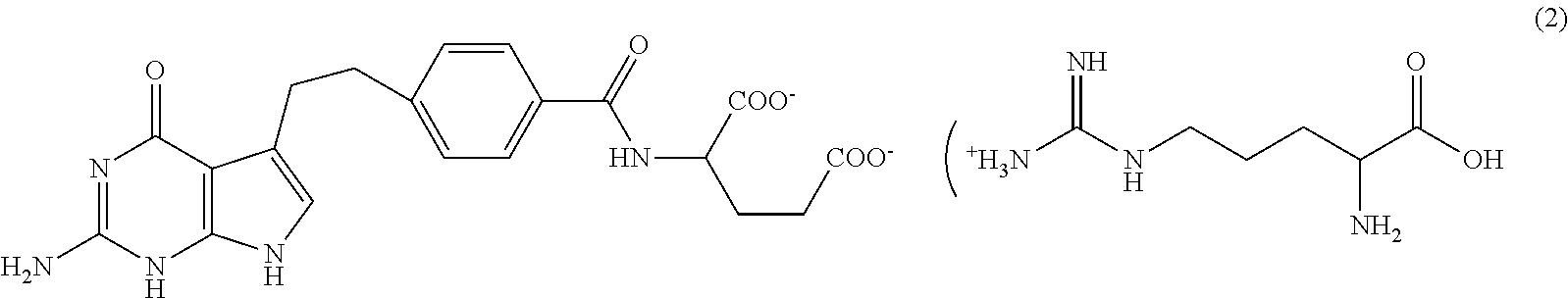
   Kémiai szerkezet   

Kereskedelmi név   Kereskedelmi név     

A kereskedelmi név meghatározó jelentőségű: a készítmények összetétele országonként, előállítóként eltérő lehet

Pemetrexed Mylan Franciaország
Pemetrexed Ohre Pharma Franciaország
Pemetrexed Zentiva Franciaország

Stabilitást befolyásoló tényezők   Injekció   Stabilitást befolyásoló tényezők : Pemetrexed diarginine        
Hiányzó adat

  Mentions Légales