Dernière mise à jour :
17/12/2025
Anticancéreux   Pemetrexed diarginine  
injectable
Stabilité des solutions Stabilité en mélange Facteur influençant la stabilité Compatibilités Voie d’administration Bibliographie pdf
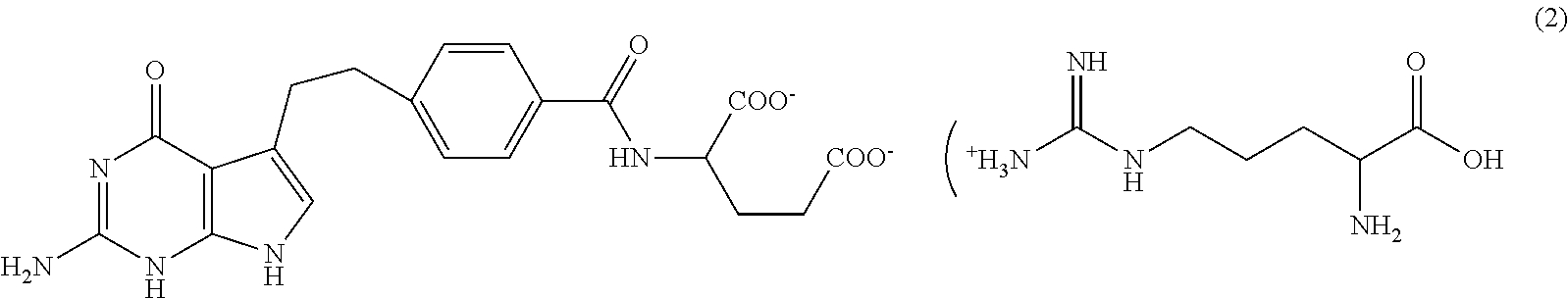
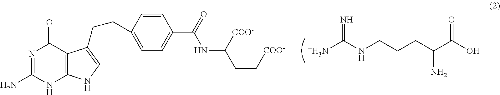
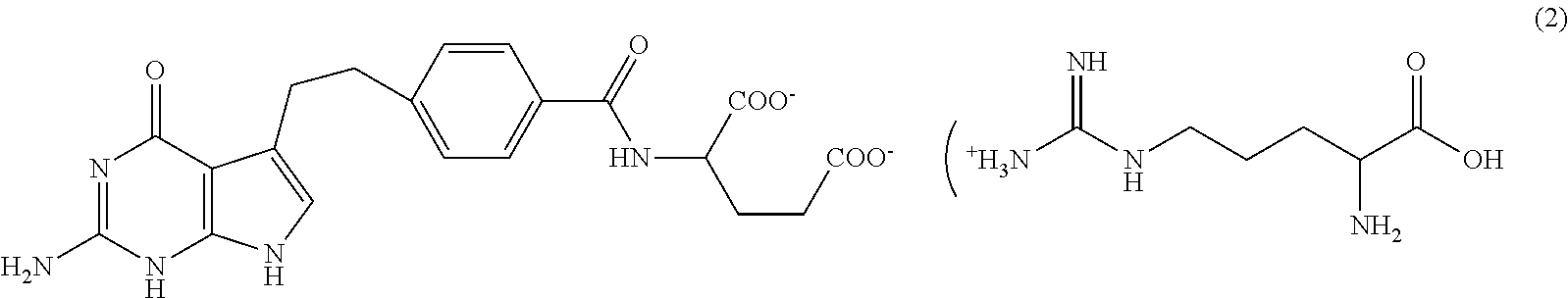
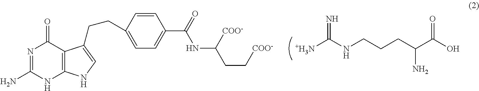
   Structure chimique  

Noms commerciaux   Noms commerciaux     

Les noms commerciaux sont donnés à titre indicatif et la composition en excipients peut être différente selon les pays et selon les laboratoires

Pemetrexed Mylan France
Pemetrexed Ohre Pharma France
Pemetrexed Zentiva France
Stabilité en mélange   injectable   Stabilité en mélange : Pemetrexed diarginine     
Aucune donnée

  Mentions Légales