Siste oppdatering :
18/03/2026
kreft narkotika   Pemetrexed diarginine  
Injeksjon
Oppløsningsstabilitet Stabilitet i blandinger Faktorer som påvirker stabiliteten Kompatibilitet Administrasjonsmåte Referanser pdf
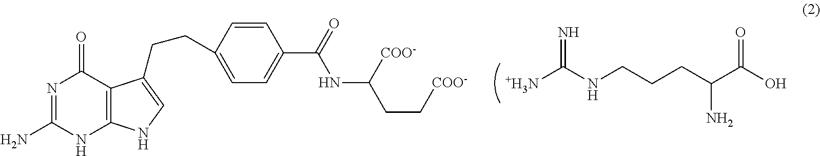
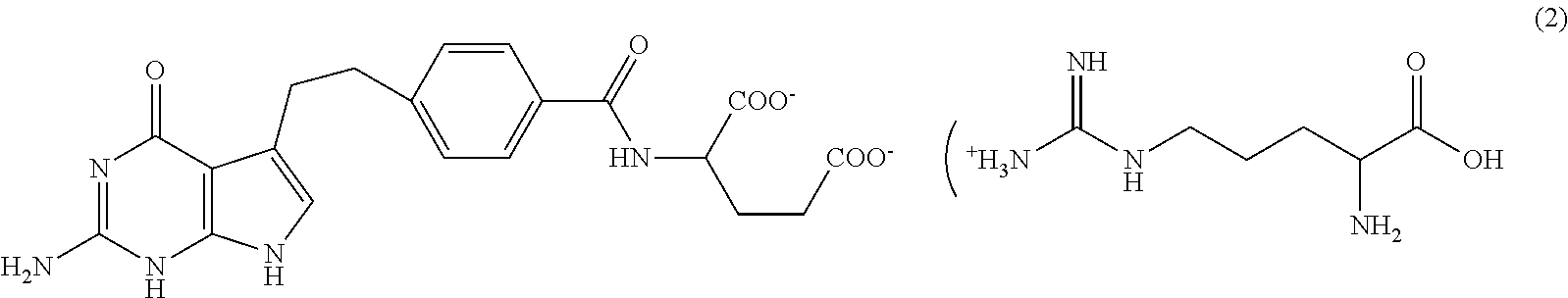
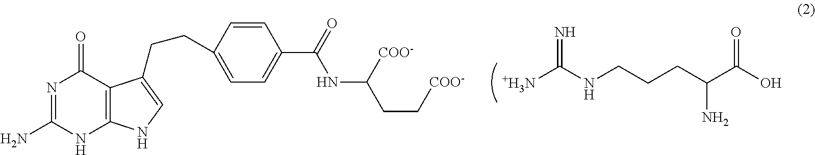
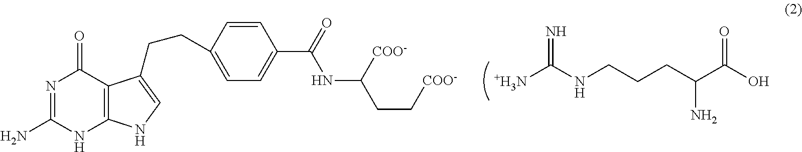
   Kjemisk struktur  

Handelsnavn   Handelsnavn     

Handelsnavn er veiledende og sammensetning av hjelpestoffer kan være forskjellig avhengig av land og produsent

Pemetrexed Mylan Frankrike
Pemetrexed Ohre Pharma Frankrike
Pemetrexed Zentiva Frankrike

Faktorer som påvirker stabiliteten   Injeksjon   Faktorer som påvirker stabiliteten : Pemetrexed diarginine        
Ingen opplysninger

  Mentions Légales