Senaste uppdateringen :
05/12/2025
Infostab
Förteckning över substanser
Sammanfattande listor
Sök efter kompatibilitet
Kompatibilitetstabell
Hänvisningar
forskargrupper
valistab
Posters
Anslutningar
sponsorer
Författare
Användaranvisning
Nyhetsbladet
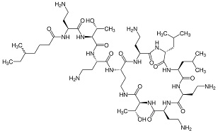
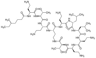
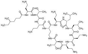
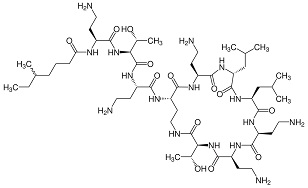
Colistin sulfate
Molekylstruktur
Stabilitet av läkemedel : Colistin sulfate
Ingen uppgift
Mentions Légales