zadnja posodobitev :
05/12/2025
Antibiotik   Colistin sulfate  
Peroralna raztopina
Stabilnost farmacevtskih preparatov Stabilnost mešanice Faktorji, ki vplivajo na stabilnost Kompatibilnost Viri pdf
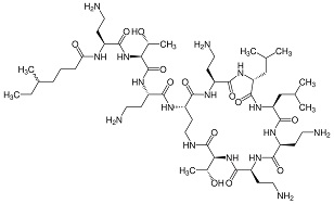
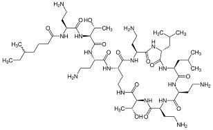
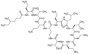
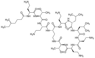
   Kemična formula  

Peroralna raztopina
Stabilnost farmacevtskih preparatov   Peroralna raztopina   Stabilnost farmacevtskih preparatov : Colistin sulfate     
ni podatka

  Mentions Légales