Viimeisin päivitys :
18/03/2026
Antibiootit   Colistin sulfate  
Oraaliliuos
Vakaus lääkevalmisteen Stabilius seoksissa Tekijät, jotka vaikuttavat stabiliuteen Yhteensopivuus Viitteet pdf
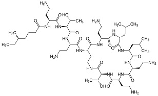
   Kemiallinen rakenne  

Oraaliliuos
Vakaus lääkevalmisteen   Oraaliliuos   Vakaus lääkevalmisteen : Colistin sulfate     
ei tietoa

  Mentions Légales