Poslední aktualizace :
18/03/2026
Antibiotikas   Colistin sulfate  
Geriamas tirpalas
Stabilumas farmacinių preparatų Mišinių stabilumas Stabilumą lemiantys veiksniai Suderinamumas Bibliografija pdf
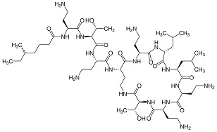
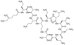
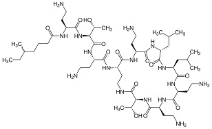
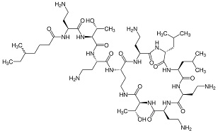
   Cheminė sandara  

Geriamas tirpalas
Stabilumas farmacinių preparatų   Geriamas tirpalas   Stabilumas farmacinių preparatų : Colistin sulfate     
Nėra duomenų

  Mentions Légales